設備
分子蒸餾設備
(molecular distillation equipment)
分子蒸餾亦稱短程蒸餾.它是一項較新的尚未廣泛套用於工業化生產的液-液分離技術.其套用能解決大量常規蒸餾技術所不能解決的問題.
分子蒸餾與常規蒸餾技術相比有以下 特點:
1.普通蒸餾是在沸點溫度下進行分離操作:而分子蒸餾只要冷熱兩個面之間達到足夠的溫度差.就可以在任何溫度下進行分離.因而分子蒸餾操作溫度遠低於物料的沸點.
2.普通蒸餾有鼓泡.沸騰現象:而分子蒸餾是液膜表面的自由蒸發.操作壓力很低.一般為0.1-1Pa數量級,受熱時間很短.一般僅為十秒至幾十秒.
3.普通蒸餾的蒸發和冷凝是可逆過程.液相和氣相之間處於動態相平衡,而在分子蒸餾過程中.從加熱面逸出的分子直接飛射到冷凝面上.理論上沒有返回到加熱面的可能性.所以分子蒸餾沒有不易分離的物質.
一套完整的分子蒸餾設備主要包括:分子蒸發器、脫氣系統、進料系統、加熱系統、冷卻真空系統和控制系統。分子蒸餾裝置的核心部分是分子蒸發器,其種類主要有3種:(1)降膜式:為早期形式,結構簡單,但由於液膜厚,效率差,當今世界各國很少採用;(2)刮膜式:形成的液膜薄,分離效率高,但較降膜式結構複雜;(3)離心式:離心力成膜,膜薄,蒸發效率高,但結構複雜,真空密封較難,設備的製造成本高。為提高分離效率,往往需要採用多級串聯使用而實現不同物質的多級分離。
1. 降膜式分子蒸餾器
該裝置是採取重力使蒸發麵上的物料變為液膜降下的方式。將物料加熱,蒸發物就可在相對方向的冷凝面上凝縮。降膜式裝置為早期形式,結構簡單,在蒸發麵上形成的液膜較厚,效率差,現在各國很少採用。
2. 刮膜式分子蒸餾裝置
我國在80年代末才開展刮膜式分子蒸餾裝置和工藝套用研究。它採取重力使蒸發麵上的物料變為液膜降下的方式,但為了使蒸發麵上的液膜厚度小且分布均勻,在蒸餾器中設定了一硬碳或聚四氟乙烯制的轉動刮板。該刮板不但可以使下流液層得到充分攪拌,還可以加快蒸發麵液層的更新,從而強化了物料的傳熱和傳質過程。其優點是:液膜厚度小,並且沿蒸發表面流動;被蒸餾物料在操作溫度下停留時間短,熱分解的危險性較小,蒸餾過程可以連續進行,生產能力大。缺點是:液體分配裝置難以完善,很難保證所有的蒸發表面都被液膜均勻覆蓋;液體流動時常發生翻滾現象,所產生的霧沫也常濺到冷凝面上。但由於該裝置結構相對簡單,價格相對低廉,現在的實驗室及工業生產中,大部分都採用該裝置。
3. 離心式分子蒸餾裝置
該裝置將物料送到高速鏇轉的轉盤中央,並在鏇轉面擴展形成薄膜,同時加熱蒸發,使之與對面的冷凝面凝縮,該裝置是目前較為理想的分子蒸餾裝置。但與其它兩種裝置相比,要求有高速鏇轉的轉盤,又需要較高的真空密封技術。離心式分子蒸餾器與刮膜式分子蒸餾器相比具有以下優點:由於轉盤高速鏇轉,可得到極薄的液膜且液膜分布更均勻,蒸發速率和分離效率更好;物料在蒸發麵上的受熱時間更短,降低了熱敏物質熱分解的危險;物料的處理量更大,更適合工業上的連續生產。
酒精蒸餾設備
(alcohol distilling equipment)
蒸餾設備特點:第一,節能。採用高效低阻的板型,降低釜溫,適量回流,建立合理利用各級能量的蒸餾流程;儘量採用儀表控制或微機自控系統,使設備處於最佳負荷狀態。
第二,生產強度高。提高單位塔截面的汽液通量,特別是對醪塔的設計,更應注意其汽液比的關係。使設備更加緊湊、生產強度和處理能力又能提高的方法之一,採用高效塔板代替原有舊式塔校(塔體不動)。
第三,排污性能好。在儘量減少成熟醪中纖維物含量的同時,對設備也要考慮其適應含固形物發酵液的蒸餾,最大限度減少停產清塔的次數。
第四,充分考慮塔器的放大效應.特別是對年產量在15000噸以上的塔設備,由於塔徑均大於1.5米以上,所以要對大直徑塔設備採取積極先進措施,以減輕分離效率的降低。
第五,結構簡單,造價降低。在工藝條件許可的情況下,選用塔板結構簡單而效率又高的新型塔板。
裝置原理:
本裝置適用於製藥、食品、輕工、化工等待業的稀酒精回收,也適用於甲醇等其他溶煤的蒸餾。本裝置根據用戶的要求,可將30。左右的稀酒精蒸餾至90。-95。酒精,成品酒精度數要求再高。可加大回流比,但產量就相應減少。
採用高效的不鏽鋼波紋填料。蒸餾塔體採用不鏽鋼製作,從而是防止了鐵屑堵塞填料的現象,延長了裝置的使用期限。本裝置中凡接觸酒精的設備部分如冷凝器、穩壓罐、冷卻蛇管等均採用不鏽鋼,以確保成品酒精不被污染。蒸餾釜採用可拆式U型加熱管,在檢修時可將U型加熱管移出釜外,便於對加熱管外壁及蒸餾釜內壁進行清洗。本裝置可間歇生產,也可連續生產。
能力參數:
| 型號 | 塔徑mm | 30~40%進料的生產能力 | 60~80%進料的生產能力 | ||
| 90%酒精 | 95%酒精 | 90%酒精 | 95%酒精 | ||
| T-200 | φ200 | 35kg | 26kg | 45kg | 36kg |
| T-300 | φ300 | 80kg | 64kg | 100kg | 80kg |
| T-400 | φ400 | 150kg | 120kg | 180kg | 140kg |
| T-500 | φ500 | 230kg | 185kg | 275kg | 220kg |
| T-600 | φ600 | 335kg | 270kg | 400kg | 320kg |
減壓蒸餾設備(atmospheric-vacuum distillation unit) 常減壓蒸餾裝置通常包括三部分:
(1)原油預處理。採用加入化學物質和高壓電場聯合作用下的電化學法除去原油中混雜的水和鹽類。
(2)常壓蒸餾。原油在加熱爐內被加熱至370℃左右,送入常壓蒸餾塔在常壓(1大氣壓)下蒸餾出沸點較低的汽油和柴油餾分,殘油是常壓重油。
(3)減壓蒸餾。常壓重油再經加熱爐被加熱至410℃左右,進入減壓蒸餾塔在約8.799千帕(60毫米汞柱)絕壓下蒸餾,餾出裂化原料的潤滑油原料,殘油為減壓渣油。參見原油蒸餾。
精油蒸餾設備
蒸餾設備
蒸餾設備精油蒸餾設備,包括用管道相互連線的蒸餾釜、蒸餾塔、冷凝器、油水分離器,釜下部側面的蒸汽進口管一路連線釜內的水平安置的環形氣管,環形氣管垂直向上均勻安裝著帶有射流口的外圍射流器,另一路連線位於釜中央裝有帶有渦輪室的中央射流器,中央射流器圓管外壁分布著射流口,圓管中心為攪拌中軸,中軸下端裝有葉片式攪拌器,渦輪室內中軸上裝有渦輪。該設備結構簡單易於製造,工藝流程短、熱壓分布均勻、提取效率高,適用於小型加工企業使用。
水蒸氣蒸餾設備
水氣蒸餾是用來分散以及提純液態或者固態有機化合物的一種要領,經常使用於下列幾種環境:(1)某些沸點高的有機化合物,在常壓下蒸餾雖可與副產物分散,但易被破壞;(2)混淆物中含有大量樹脂狀雜質或者不揮發性雜質,採用蒸餾、萃取等要領都難以分散;(3)從較多固體反應物中分散出被吸附的液體。
基本原理
按照道爾頓分壓定律,當與水不相混溶的物質與水並存時,全般系統的蒸氣壓應為各組分蒸氣壓之以及,即:
p= pA+ pB
其中p 代表總的蒸氣壓,pA為水的蒸氣壓,pB 為與水不相混溶物質的蒸氣壓。
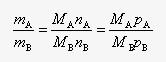
當混淆物中各組分蒸氣壓總以及等於外界大氣壓時,這時候的溫度即為它們的沸點。此沸點比各組分的沸點都低。是以,在常壓下套用水氣蒸餾,就能在低於100℃的環境下將高沸點組分與水一路蒸出來。由於總的蒸氣壓與混淆物中兩者間的相對於量無關,直至其中一組分幾乎完全移去,溫度才上漲至留在瓶中液體的沸點。我們懂得,混淆物蒸氣中各個氣體分壓(pA,pB)之比等於它們的物質的量(nA,nB)之比,即:
蒸餾設備而nA=mA/MA;nB=mB/MB。其中
mA、mB為各物質在肯定是容量中蒸氣的質量,MA、MB為物質A以及B的相對於份子質量。是以:
蒸餾設備可見,這兩種物質在餾液中的相對於證量(就是它們在蒸氣中的相對於證量)與它們的蒸氣壓以及相對於份子質量成正比。
以苯胺為例,它的沸點為184.4℃,且以及水不相混溶。當以及水一路加熱至98.4℃時,水的蒸氣壓為95.4 kPa,苯胺的蒸氣壓為5.6 kPa,它們的總壓力靠近大氣壓力,於是液體就開始沸騰,苯胺就隨水氣一路被蒸餾出來,水以及苯胺的相對於份子質量別離為18以及93,代入上式:
蒸餾設備即蒸出3.3 g水可以容或者帶出1 g苯胺。苯胺在溶液中的組分占23.3%。測試中蒸出的水量往往超過計算值,由於苯胺微溶於水,測試中尚有一部分水氣不遑與苯胺充分接觸便離開蒸餾燒杯的緣故。
哄騙水氣蒸餾來分散提純物質時,要求此物質在100℃擺布時的蒸氣壓至少在1.33 kPa擺布。要是蒸氣壓在 0.13~0.67 kPa,則其在餾出液中的含量僅占1%,甚至更低。為了要使餾出液中的含量增高,就要想辦法提高此物質的蒸氣壓,也就是說要提高溫度,使蒸氣的溫度超過100℃,即要用過熱水氣蒸餾。例如苯甲醛(沸點178℃),進行水氣蒸餾時,在97.9℃沸騰,這時候pA=93.8 kPa,pB=7.5 kPa,則:
蒸餾設備這時候餾出液中苯甲醛占32.1%。
假如導入133℃過熱蒸氣,苯甲醛的蒸氣壓可達29.3kPa,故而只要有72 kPa的水氣壓,就可使系統沸騰,則:
蒸餾設備這樣餾出液中苯甲醛的含量就提高到了70.6%。
套用過熱水氣還具有使水氣冷凝少的長處,為了防止過熱蒸氣冷凝,可在蒸餾瓶下保溫,甚至加熱。
從上面的分析可以看出,施用水氣蒸餾這種分散要領是有條件限定的,被提純物質必需具備以下幾個條件:(1)不溶或者難溶於水;(2)與沸水永劫間並存而不發生化學反應;(3)在100℃擺布必需具有肯定似的蒸氣壓(一般不小於1.33 kPa)。
裝置
真空蒸餾裝置
(vacuum distillation plant) 一些化合物具有很高的沸點。要使這類化合物沸騰,最好是降低化合物沸騰時的壓力而不是提高溫度。一但壓力降低到化合物的蒸汽壓(在一定的溫度下),化合物就開始沸騰,蒸餾作用就可進行。這項技術被稱為真空蒸餾,且以真空汽化器的形式常見於實驗室。這項技術對於大氣壓下沸點超過其分解溫度的化合物是很有用的,在大氣壓下讓這類化合物沸騰的嘗試,都會使其分解。
使用
1. 安裝真空蒸餾的儀器時,必須選擇大小合適的橡皮塞,最好選用磨口真空蒸餾裝置。
2. 蒸餾液內含有大量的低沸點物質,需先在常壓下蒸餾,使大部分防物蒸出,然後用水泵減壓蒸餾,使低沸點物除盡。
3. 停止加熱,回收低沸物,檢查儀器各部分連線情況,使之密合。
4. 開動油泵,再慢慢關閉安全閥,並觀察壓力計上壓力是否到達要求,如達不到要求,可用安全閥進行調節。
5. 待壓力達到恆定合乎要求時,再開始加熱蒸餾瓶,精餾單體時,應在蒸餾瓶內加入少許沸石 (一般使用油浴,其溫度高於蒸餾液沸點的20~30℃,難揮發的高沸點物在後階段可高30~50℃)。6. 蒸餾結束,先移去熱源,待稍冷些,再同時逐漸打開安全活塞,等壓力計內水銀柱平衡下降時,停止抽氣,等系統內外壓力平衡後,拆下儀器,冼淨。

