葉素理論
將風輪葉片沿展向分成許多微段(葉素)。葉素理論將風力機槳葉簡化為有有限個葉素,沿徑向疊加而成,因而風輪的三維氣動特性,可以由葉素的氣動特性沿徑向積分得到。
葉素理論套用的基本假設
(1)不考慮沿葉片展向方向相鄰葉素間的干擾。
(2)作用於每個葉素上的力僅由葉素的翼型氣動性能決定。
公式
考慮尾渦效應後的入流速度:
葉素理論
葉素理論
葉素理論
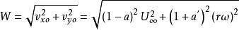
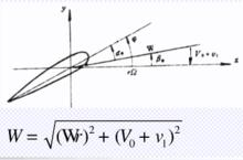
葉素理論葉素處合成後的入流速度:
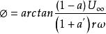
葉素理論入流角和攻角為:
葉素理論
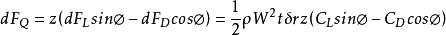
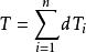
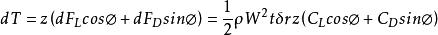
葉素理論合成後引起的軸向推力、切向力、轉矩為:
葉素理論
葉素理論
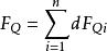
葉素理論整個風輪平面的軸向推力、切向力、轉矩為:
葉素理論
葉素理論
葉素理論
葉素理論角度關係:
葉素的氣動環境
葉素坐標系oxyz
葉素理論oz 槳葉的變距軸線
ox 旋轉前進方向
oy 在翼型平面內垂直於xoz
葉素的相對氣流速度w
葉素理論
葉素理論垂直上升相對速度
葉素理論旋轉相對速度
葉素理論當地誘導速度

