正文
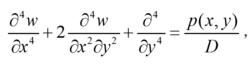
萊維法此法適用於求解一組相對邊為簡支邊,另一組相對邊為任意邊的矩形薄板(如圖所示,其中x=0和x=a為簡支邊)。薄板微分方程為:
萊維法式中ω為板的撓度;p(x,y)為作用在板上的分布載荷;D為板的彎曲剛度。萊維將p(x,y)在x方向上展成三角級數,即
萊維法式中的q(y)為從p(x,y)分離出的y的函式。將ω也寫成級數形式:
萊維法式中Ym(y)為待求函式。把這兩個級數代入薄板微分方程,可將原四階偏微分方程變成四階常微分方程:
萊維法對於特殊的載荷及邊界條件(必須有兩相對邊為簡支邊),這個常微分方程可以解出。以萊維法的解為基礎,通過疊加還可求出四邊固支的矩形板、連續矩形板、懸臂矩形板等較複雜問題的解。

