發展簡史
航空材料是製造飛機(包括飛行器)、航空發動機及其附屬檔案、儀表及隨機設備等所用材料的總稱,通常包括金屬材料(結構鋼、不鏽鋼、高溫合金、有色金屬及合金等)、有機高分子材料(橡膠、塑膠、透明材料、塗料等)和複合材料。
早期的飛機結構簡單,所用的材料主要是木材、布和繩索等;20世紀30年代,飛機逐漸發展成為全金屬結構,動力裝置則為活塞式發動機,所用的材料也只有鋼鐵、鋁合金和鎂合金等。
由於作戰迫切需要提高飛機的飛行速度,噴氣式發動機應運而生。儘管噴氣式發動機的原理早為人們所知,但這種發動機的製造成功,還是在耐熱合金出現以後。
噴氣式發動機完成了航空技術的一次飛躍——突破了“聲障”。但隨即又出現了“熱障”問題。“熱障”是當飛機超聲速飛行時,飛機蒙皮表面附面層空氣因摩擦而生成大量的熱,使飛機蒙皮的溫度急劇升高,當溫度超過250°C時,鋁合金就不能用了。這樣直到20世紀40年代末,出現鈦合金以後,航空技術才又一次出現飛躍——突破了“熱障”。
在科學技術迅猛發展的今天,飛機正朝著超高速、巨型、隱身、智慧型的方向發展,對航空材料提出了越來越高的要求;同時,航空材料也隨著科學技術的進步而逐漸發展,新材料新工藝不斷湧現,為航空事業的發展提供了物質保障。
近幾十年來,新型航空材料及先進工藝發展很快,如高強度鋁合金、鈦合金、高溫合金、超高強度鋼、複合材料、隱身材料及定向凝固葉片技術、定向共晶葉片技術、粉末高溫合金屬輪盤製造技術等,為第四代、第五代飛機的發展提供了物質保障。航空發展史證明,航空材料的每次重大突破,都會促進航空技術產生飛躍式的發展;航空材料不僅是航空事業發展的物質基礎,也是航空事業發展的技術支撐。
發展特點
1.新技術、新工藝的套用是發展航空材料的主要途徑
航空材料屬於知識密集、技術密集的學科。許多事實說明,單純依靠傳統工藝和技術只改變材料成分,滿足現代航空技術提出的越來越高的要求是很困難的,因此,各國對新技術、新工藝在航空材料領域的開發套用都非常重視,促進了航空材料的發展。目前,各國在發展航空材料時套用和研製的新技術、新工藝主要有:定向凝固技術,機械合金化、快速凝固、複合裁剪技術,電子束、等離子束及雷射束技術,真空電弧重熔、細晶鑄錠技術及相應發展的熱等靜壓技術,超塑成型技術,固態焊接技術。
2.複合材料和複合結構的套用日益增多
近20年來,複合材料的研製和套用發展極為迅速,從70年代初在軍用機上開始試用,日前已發展到民用,從非承力件和次承力件發展到主承力件。用量從占飛機結構質量不到1%發展到占30u/o—50%,並出現了全複合材料飛機。
3.材料研製逐漸走向定量化
隨著人們對材料性能與成分、組織和各種影響因素的關係了解越來越深入,材料研製已經逐漸定量化。近年來,隨著計算機技術的發展和套用,合金研製定量化的工作取得了突破性進展,提出了全新的合金設計方法,並在研製新合金中取得了可喜成績,做到了按指定性能設計新合金。例如日本金屬材料研究所利用合金設計方法,對美國M247定向合金進行重新設計,增加了鈷、鉻含量,降低了碳、鈦成分,所獲得的定向凝固TMD -5合金,其性能比M247合金高得多。
4.材料向高純、高均勻性方向發展
近年來,微量元素的作用越來越引起人們的重視,對雜質元素的控制越來越嚴,材料研究正在向高純度、高均勻性和高精度方向發展。眾所周知,夾雜物對疲勞性能和應力腐蝕性能影響很大,特別是對缺口敏感的高強度材料更為明顯。因此國外對超高強度鋼的S、P含量及夾雜物的要求越來越嚴。例如美國有關技術標準中規定300M鋼的S、P含量必須小於0. 015%,並且兩者之和不得大於0.025%。工廠S、P含量控制更嚴,要求小於0.006%,從而保證超高強度鋼的優越性能,延長使用壽命。
5.一體化是航空材料發展的重要特徵
材料工程是一個內容十分廣泛的領域,包括成分設計、配製及成型丁藝、選材、加工製造、使用維護、失效分析等,隨著科學技術的發展,各學科相互交叉、相互滲透、相互促進的現象越來越多。材料、工藝和性能、設計、製造和材料都越來越趨向一體化。例如複合材料的套用,由於複合材料的各向異性,要充分發揮複合材料的優勢,必須把設計、材料、工藝、檢測技術很好地結合起來,對受力狀態、纖維鋪層方向、鋪層數量進行綜合考慮,才能獲得最佳性能。
關鍵技術
1.材料科學理論新發現
例如,鋁合金的時效強化理論導致硬鋁的發展;高分子材料剛性分子鏈的定向排列理論導致高強度、高模量芳綸有機纖維的發展。
2.材料加工工藝新技術
例如古老的鑄、鍛技術已發展成為定向凝同技術、精密鍛造技術,從而使得高性能的葉片材料得到實際套用。複合材料增強纖維鋪層設計和T藝技術的發展,使它在不同的受力方向上具有最優特性,從而使得複合材料具有可設計性,並為它的套用開拓了廣闊前景;熱等靜壓技術、超細粉末製造技術等新型T藝技術成功創造出具有嶄新性能的航空航天材料和製件,如熱等靜壓技術製造的粉末冶金渦輪盤、高效能陶瓷製件等。
3.材料性能測試與無損檢測新技術
現代電子光學儀器已經可以觀察到材料的分子結構;材料機械性能的測試裝置已經可以模擬飛行器的載荷譜,而且無損檢測技術也有了飛速進步。
國內發展現狀
中國航空材料經歷了引進、仿製、改進、改型和自行研製的發展歷程。到目前為止,我國已定型生產的航空用金屬、有機高分子材料、無機非金屬材料以及複合材料的牌號約2000餘個;已建成具有一定規模的航空材料研究與生產基地,擁有生產航空產品所需各類材料牌號、品種與規格的生產設備及檢測儀器;先後制定了1000餘份各類航空材料、熱工藝及理化檢測標準(包括國標、國軍標與航空標準);編寫出版了《中國航空材料手冊》《發動機結構設計用材料性能數據手冊》及《航空材料選用目錄》等;頒布了“航空工業材料及熱工藝技術工作規定”“航空材料(含鍛、鑄件)技術管理辦法”等法規性檔案。
總體上看,我國目前已定型生產的航空材料(含類別、牌號、品種與規格)及其相應的標準與規範,基本上能滿足第二代航空產品大批生產的需求。針對第三代航空產品所需關鍵材料,如熱強鈦合金、高強鋁合金、超高強度結構鋼不鏽鋼、樹脂基複合材料、單晶與粉末高溫合金等,從技術上看,已具備試用條件,但要轉化為在特定工況下使用的零部件,並體現出第三代航空產品的總體效能(技術與戰術性能、使用可靠性與壽命以及經濟效益等)尚需做大量的工作。我國航空材料的現狀與新一代航空產品(飛機以F -22為代表,發動機推重比10為代表)對材料的需求之間尚存在較大的差距,主要有:前沿材料研究滯後,新材料儲備小,第三代、第四代航空產品所需的一些關鍵材料,如快速凝固材料、高強輕質結構材料、熱強鈦合金、超高強度鋼、金屬問化合物及以其為基的複合材料、樹脂基複合材料等的研究滯後,與國外先進新材料研製水平的差距約為15~20年;新材料研製、生產和套用研究的基礎條件較差,如超純熔煉、高溫整體擴散連線、噴射成型、等溫鍛造、電子束沉積塗層、納米材料製備、超高溫檢測、超聲顯微鏡、雷射無損檢測等先進的合成與加工設備、質量檢測與控制手段等不能滿足新材料研製、生產與套用的需要。
分類
根據材料的組成與結構的特點,航空材料包括金屬材料、有機高分子材料(聚合物)、無機非金屬材料和複合材料四大類。
金屬材料是以金屬元素為基的材料。金屬材料包括純金屬及其合金。合金是以某一金屬元素為基,添加一種以上金屬元素或非金屬元素(視性能要求而定),經冶煉、加工而成的材料,如碳素鋼、低合金鋼和合金鋼、高溫合金、鈦合金、鋁合金、鎂合金等。純金屬很少直接套用,因此金屬材料絕大多數是以合金的形式出現。
高分子材料又稱聚合物或高聚物。一類由一種或幾種分子或分子團(結構單元或單體)以共價鍵結合成具有多個重複單體單元的大分子,其相對分子質量高達10 -10 。它們可以是天然產物如纖維、蛋白質和天然橡膠等,也可以是用合成方法製得的,如合成橡膠、合成樹脂、合成纖維等非生物高聚物,聚合物的特點是種類多、密度小(僅為鋼鐵的1/7~1/8),比強度大,電絕緣性、耐腐蝕性好,加工容易,可滿足多種特種用途的要求。卨分子材料包括塑膠、纖維、橡膠、塗料、粘合劑等領域,可部分取代金屬、非金屬材料。
無機非金屬材料包括除金屬材料、有機高分子材料以外的幾乎所有材料。這些材料主要有陶器、瓷器、磚、瓦、玻璃、水泥、耐火材料以及氧化物陶瓷、非氧化物陶瓷、金屬陶瓷、複合陶瓷等新型材料。無機非金屬材料來源豐富、成本低廉、套用廣泛。無機非金屬材料具有許多優良的性能,如耐高溫、高硬度、抗腐蝕,以及優良的介電、壓電、光學、電磁性能及其功能轉換特性等;主要缺點是抗拉強度低、韌性差。近年來,又出現了氧化物陶瓷、碳化物陶瓷、氮化物陶瓷等許多具有特殊性能的新型材料。無機非金屬材料已成為多種結構、信息及功能材料的主要來源,如耐高溫、抗腐蝕、耐磨損的氧化鋁(A10)、氮化矽(SiN)、碳化矽(SiC)、氧化鋯增韌陶瓷;大量用作切削刀具的金屬陶瓷·,將電信息轉變為光信息的鈮酸鋰和改性的鋯鈦酸鉛;以及壓電陶瓷和PTC陶瓷等。
複合材料是由兩種或多種材料組成的多相材料。一般指由一種或多種起增強作用的材料(增強體)與一種起粘結作用的材料(基體)結合製成的具有較高強度的結構材料。增強體是指複合材料中借基體粘結,強度、模量遠高於基體的組分。按形態有顆粒、纖維、片狀和體型四類。目前在工業中採用的連續纖維增強體如玻璃纖維、碳纖維、石墨纖維、碳化矽纖維、硼纖維和高模量有機纖維等,主要作為複合材料的增強材料。基體是指複合材料中粘結增強體的組分。一般分為金屬基體、聚合物基體和無機非金屬基體三大類。金屬基體包括純金屬及其合金;聚合物基體包括樹脂、橡膠等;無機非金屬基體包括玻璃、陶瓷等。基體對增強體應具有良好的粘結力和兼容性。基體和增強體之間的接觸面稱為“界面"。由於基體對增強體的粘結作用,使界面發生力的傳播、裂紋的阻斷、能量的吸收和散射等效應,從而使複合材料產生單一材料所不具備的某些優異性能,例如碳纖維環氧樹脂複合材料的疲勞性能和斷裂韌度都遠優於碳纖維和環氧樹脂。
按使用功能,航空材料又可分為結構材料和功能材料兩大類。結構材料以力學性能為主,功能材料以物理、化學性能為主。
航空材料既是研製生產航空產品的物質保障,又是推動航空產品史新換代的技術基礎。主要的航空結構材料包括結構鋼與不鏽鋼、高溫合金、輕金屬材料(含鋁及鋁合金、鈦及鈦合金)、聚合物基複合材料等。
飛機機體的主要結構村料是結構鋼、輕金屬材料和複合材料:為了提高飛機的結構效率.降低飛機結構重量係數,高比強度和高比模來那個的輕質、高強、高模材料,正在獲得越來越多的套用。隨著飛機性能的提高,樹脂基複合材料和鈦合金用量增加,傳統鋁合金和鋼材用量減少。戰鬥機以F-22為例,樹脂基複合材料的用量已達到整機結構重量的24%,鈦合金用量達到整機結構重量的41%;與此同時,鋁合金用量下降為只占整機結構重量的15%,鋼的用量下降為只占整機結構重量的5%。民機以B-777為例,樹脂基複合材料的用量已占整機結構重量的11%,鈦合金用量已占到整機結構重量的7%;與此同時,鋁合金用量下降為占整機結構重量的70%,但仍是飛機機體結構的主要結構材料;鋼的用量下降為只占整機結構重量的11%。
航空發動機的主要結構材料是不鏽鋼、高溫合金和鈦合金。在一台先進發動機上,高溫合金和鈦合金的用量分別要占到發動機總結構重量的55%~65%和25%~40%,並對許多新型高溫材料提出了更高的要求,如新型高溫合金和高溫鈦合金、高溫樹脂基複合材料、金屬間化合物及其複合材料、熱障塗層材料、金屬基複合材料、陶瓷基和碳/碳複合材料等。
機載設備中的關鍵材料主要是各種微電子、光電子、感測器等光、聲、電、磁、熱的高功能及多功能材料。
性能特點
出於航空飛行及其安全性的考慮,航空材料應具有以下特點:
1.高比強度(A)和高比剛度(B)
航空材料的基本要求是:材質輕、強度高、剛度好。提高飛行器的比強度,就要降低其密度,減輕飛行器結構質量,減輕飛行器本身結構質量又意味著增加運載能力,提高機動性能,加大飛行距離或射程,減少燃油或推進劑的消耗。材料比剛度在航空系統中也是非常關鍵的參數,能影響某些部位的震動性能,比如飛機機翼。
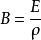
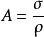
比強度和比剛度是衡量航空航天材料力學性能優劣的重要參數:
航空材料
航空材料式中,σ為材料強度,E為材料彈性模量,ρ為材料密度。飛行器除了受靜載荷的作用外還要經受由於起飛和降落、發動機振動、轉動件的高速旋轉、機動飛行和突風等因素產生的交變載荷,因此材料的疲勞性能也受到人們極大的重視。
2.優良的耐高低溫性能
飛行器所經受的高溫環境是由空氣動力加熱、發動機燃氣以及太空中太陽的輻照造成的。航空器長時間在空氣中飛行,有的飛行速度高達3倍音速,所使用的高溫材料要具有良好的高溫持久強度、蠕變強度、熱疲勞強度,在空氣和腐蝕介質中要有高的抗氧化性能和抗熱腐蝕性能,並應具有在高溫下長期工作的組織結構穩定性。火箭發動機燃氣溫度達30000C以上,噴射速度可達十餘個馬赫數,而且固體火箭燃氣中還夾雜有固體粒子,彈道飛彈頭部在進入大氣層時速度高達20個馬赫數以上,溫度高達上萬攝氏度,有時還會受到粒子云的侵蝕,因此在航空技術領域中所涉及的高溫環境往往同時包括高溫高速氣流和粒子的沖刷。在這種條件下需要利用材料所具有的熔解熱、蒸發熱、升華熱、分解熱、化合熱以及高溫黏性等物理性能來設計高溫耐燒蝕材料和發汗冷卻材料以滿足高溫環境的要求。太陽輻照會造成在外層空間運行的衛星和飛船表面溫度的交變,一般採用溫控塗層和隔熱材料來解決。低溫環境的形成來自大自然和低溫推進劑。飛機在同溫層以亞音速飛行時表面溫度會降到-50C左右,極圈以內各地域的嚴冬會使機場環境溫度下降到-40C以下,在這種環境下要求金屬構件或橡膠輪胎不產生脆化現象。液體火箭使用液氧(沸點為-183℃)和液氫(沸點為-253℃)作推進劑,這為材料提出了更嚴峻的環境條件。部分金屬材料和絕大多數高分子材料在這種條件下都會變脆。通過發展或選擇合適的材料,如純鋁和鋁合金、鈦合金、低溫鋼、聚四氟乙烯、聚醯亞胺和全氟聚醚等,才能解決超低溫下結構承受載荷的能力和密封等問題。
3.耐老化和耐腐蝕
各種介質和大氣環境對材料的作用表現為腐蝕和老化。航空航天材料接觸的介質是飛機用燃料(如汽油、煤油)、火箭用推進劑(如濃硝酸、四氧化二氮、肼類)和各種潤滑劑、液壓油等。其中多數對金屬和非金屬材料都有強烈的腐蝕作用或溶脹作用。在大氣中受太陽的輻照、風雨的侵蝕以及地下潮濕環境中長期貯存時產生的黴菌會加速高分子材料的老化過程。耐腐蝕性能、抗老化性能、抗黴菌性能是航空航天材料應該具備的良好特性。
4.適應空間環境
空問環境對材料的作用主要表現為高真空(1.33×10-oPa)和宇宙射線輻照的影響。金屬材料在高真空下互相接觸時,由於表面被高真空環境所淨化而加速了分子擴散過程,出現“冷焊”現象;非金屬材料在高真空和宇宙射線輻照下會加速揮發和老化,有時這種現象會使光學鏡頭因揮發物沉積而被污染,密封結構因老化而失效。航天材料一般是通過地面模擬試驗來選擇和發展的,以求適應於空間環境。
5.壽命和安全
為了減輕飛行器的結構質量,選取儘可能小的安全餘量而達到絕對可靠的安全壽命,被認為是飛行器設計的奮鬥目標。對於飛彈或運載火箭等短時間一次使用的飛行器,人們力求把材料性能發揮到極限程度。為了充分利用材料強度並保證安全,對於金屬材料已經使用“損傷容限設計原則”。這就要求材料不但具有高的比強度,而且還要有高的斷裂韌性。在模擬使用的條件下測定出材料的裂紋起始壽命和裂紋的擴展速率等數據,並計算出允許的裂紋長度和相應的壽命,以此作為設計、生產和使用的重要依據。對於有機非金屬材料則要求進行自然老化和人工加速老化試驗,確定其壽命的保險期。複合材料的破損模式、壽命和安全也是一項重要的研究課題。
特殊性
航空材料是研製生產航空產品的物質保障,與航空技術關係極為密切,具有以下特殊性。
1.輕質高強、高溫耐蝕
航空產品特殊的工作環境對航空材料提出“輕質高強、高溫耐蝕”的特殊要求。航空工業有一句口號叫做“為每一克減重而奮鬥”,反映了減重對於航空產品的重大經濟意義。而且材料減重對飛機減重的貢獻也越來越大,所以輕質高強是航空材料必須滿足的首要性能要求。“高溫耐蝕”的“高溫”是指航空材料要能耐受較高的工作溫度。對於機身材料,氣動力加熱效應使機身表面溫度升高,需要結構材料具有好的高溫強度;對於發動機材料,要求渦輪盤和渦輪葉片材料要有好的高溫強度和耐高溫腐蝕性能。“耐蝕”是指航空材料要有優良的抗腐蝕,主要是指抗應力腐蝕、腐蝕疲勞的能力。
2.高的質量要求
航空器是技術密集、高集成度的複雜產品,只有採用質地優良的航空材料才能製造出安全可靠、性能優良的飛機和發動機。航空產品的多樣性和小批量生產,導致了航空材料研製和生產上的多品種、多規格、小批量、技術質量要求高等特點。
3.低成本航空材料
新型號的先進飛機價格不斷攀升,航空技術領先的國家和地區都先後對航空產品提出了“買得起”的要求。而材料在航空產品的成本和價格構成中占有相當份額,所以科學地選材和努力發展低成本材料技術是航空材料發展的重要方向。
未來發展方向
1. 高性能
高性能是指輕質、高強度、高模量、高韌性、耐高溫、耐低溫,抗氧化、耐腐蝕等。材料的高性性能對減輕飛行器結構質量和提高結構效率、提高服役可靠性及延長使用壽命極為重要,是航空航天材料研究不斷追求的目標。
2. 高功能及多功能
材料在光、電、聲、熱、磁方面的特殊功能是支撐某些關鍵技術以提高飛行器機動性能和突防能力的重要保證。如以紅外材料為基礎的光電成像夜視技術能增強坦克、裝甲車、飛機、軍艦及步兵的夜戰能力,紅外成像制導技術可大大提高飛彈的命中率和抗干擾能力,以新型固體雷射材料為基礎的雷射測距和火控系統等可使靈活作戰能力大大加強。
3. 複合化
複合化已成為新材料的屯要發展趨勢之一。業內專家指出,航空複合材料未來20~30年將迎來新的發展時期,甚至引發航空產業鏈的革命性變革,包括設計理念的創新和設計團隊知識的更新,航空產品供應鏈的戰略性改變,新型複合材料技術不斷出現(如混雜複合技術、源於自然界中珍珠貝殼結構後發的仿生複合技術),以及對航空維修業提出前所未有的挑戰。複合材料可以明顯減輕結構質量和提高結構效率。國外衛星、戰略飛彈及固體火箭發動機的關鍵結構材料幾乎已經複合材料化。
4. 智慧型化
智慧型化是航空航天材料重要發展趨勢之一。智慧型複合材料將複合材料技術與現代感測技術、信息處理技術和功能驅動技術集成於一體,將感知單元(感測器)、信息處理單元(微處理器)與執行單元(功能驅動器)聯成一個迴路,通過埋置在複合材料內部不同部位的感測器感知內外環境和受力狀態的變化,並將感知到的變化信息通過微處理器進行處理並做出判斷,向功能驅動器發出指令信號;而功能驅動器可根據指令信號的性質和大小進行相應的調節,使構件適應有關變化。整個過程完全自動化,從而實現自檢測、自診斷、自調節、自恢復、自保護等多種特殊功能。智慧型複合材料是感測技術、計算機技術與材料科學交叉融合的產物,存在許多領域展現了廣闊的套用前景,例如飛機的智慧型蒙皮與自適應機翼就是由智慧型複合材料構成的一種高端的智慧型結構。
5. 低成本
航空航天村料從過去中純追求高性能發展到今天綜合考慮性能與價格的平衡,低成本化貫穿材料、結構設計、製造、檢測評價以及維護維修等全過程。對碳纖維複合材料而言,其製造成本在整個成本中占有相當大的比例;因此,對其低成本製造技術應投入足夠關注。各種低成本製造技術發展很快,尤其是以樹脂傳遞成型(RTM)為代表的液體成型技術和以大型複雜構件的共固化/共膠接為代表的整體化成型技術等均得到了很大的發展。航空航天材料的低成本是一個重要發展趨勢。材料的低成本目標包括原材料、製備加工、監測評價和維修等全過程。
6.高環境相容性
航空航天飛行器所用的材料及其製備、加工和回收,必須具有高度的環境相容性,無污染,易回收。
7.材料的計算設計和模擬仿真
航空航天技術日新月異地發展,飛行器關鍵零部件的工況和環境條件更加苛刻,為適應材料科學的創新,發展了材料的計算設計和數值模擬技術。

