自適應均衡原理
均衡有兩個基本途徑:一是頻域均衡,它使包含均衡器在內的整個系統的總傳輸特性滿足無失真傳輸的條件。它往往是分別校正幅頻特性和群時延特性,通常,線路均衡便採用頻域均衡法。二是時域均衡,就是直接從時間回響考慮,使包括均衡器在內的整個系統的衝激回響滿足無碼間串擾的條件。目前廣泛利用橫向濾波器作時域均衡器,它可根據信道特性的變化而進行調整。
由於信號為時變信號,在設計時,不可能根據先驗的統計結果預先了解到信號的統計特性,而要對信號採用短時自適應分析。為了能實現實時處理的要求,處理算法必須能以簡單的運算來自動跟蹤信號統計特性的變化。
自適應均衡器需具有三個特點:快速初始收斂特性、好的跟蹤信道時變特性和低的運算量。
用於GSM數字移動通信系統中的8個訓練序列,如表1所示。它們具有很好的自相關性,能使均衡器具有好的收斂性。
表1GSM系統的訓練序列
| 序數 | 十進制 | 十六進制 | 二進制 |
| 1 | 9898135 | 970897 | 00100101110000100010010111 |
| 2 | 12023991 | B778B7 | 00101101110111100010110111 |
| 3 | 17754382 | 10EE90E | 01000011101110100100001110 |
| 4 | 18796830 | 11EdllE | 01000111101101000100011110 |
| 5 | 7049323 | 6B906B | 00011010111001000001101011 |
| 6 | 20607770 | 13AC13A | 01001110101100000100111010 |
| 7 | 43999903 | 29F629F | 10100111110110001010011111 |
| 8 | 62671804 | 3BC4BBC | 11101111000100101110111100 |
橫向濾波器
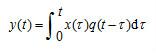
時域均衡系統的主體是橫向濾波器,它由多級抽頭遲延線、加權係數乘法器(或可變增益電路)及加法器組成,如圖1所示。輸入信號x(t)經過2N級遲延線,每節時延T。在每一級遲延線的輸出端都引出相應的信號x(t-nT),分別經過增益係數為CK(K=-N,…,N)的乘法器加權後,在加法器內進行代數相加,形成總的輸出信號y(t)。濾波器抽頭共有(2N+l)個,加權係數CK是可調的,能取正或負值,而且所有各個係數的值都對中心抽頭係數C0歸一化。
圖1 橫向濾波器 均衡器按無碼間串擾的條件——奈奎斯特準則來設計,並且一般取T等於碼元寬度TS。如果理想傳輸系統的脈衝回響是h(t),由於信道特性的缺陷,數據信號通過這個傳輸系統後會產生失真,實際系統的脈衝回響是x(t),x(t)與h(t)之間是有差異的。實際結果是:對某一碼元而言,x(t)在除相對於該碼元t=0時刻的各個抽樣點的抽樣值不再為零,形成符號間干擾:
自適應均衡 上式中的撇號表示求和時不包括K=0項。
如果在接收濾波器之後接入橫向濾波器,那么輸出回響就成為:
自適應均衡 式中q(t)是橫向濾波器的衝激回響。根據圖1,顯然有:
自適應均衡 以此式代入上式y(t)表達式得:
自適應均衡 橫向濾波器的接入將使系統的輸出波形y(t)成為2N+1個經過不同時延的均衡器輸入波形x(t)的加權和。對於一個實際回響波形x(t),只要適當地選擇抽頭增益係數CX就可能使輸出波形在各個抽樣點的抽樣值(K=0處除外)趨於零。
在抽樣時刻t=nT時,y(t)表達式變為:
自適應均衡 或簡寫成:
自適應均衡 式中:xn-K表示以n為中心的前後第K個符號(這裡的K=1,2,…,±N)在抽樣時刻t=nT對第n個符號造成的符號間干擾。所以,橫向濾波器的作用就是要調節抽頭增益係數CX(不含K=0),使以n為中心的前後2N個符號在抽樣時刻t=nT的樣值趨於零,以消除它們對第n個符號的干擾。也就是說橫向濾波器可以使控制長度-N~N內的符號間干擾最小,從而使總的符號間干擾大大減小。橫向濾波器達到的這一狀態稱為“收斂”。
一般地說,橫向濾波器的抽頭越多,控制範圍越大,均衡的效果就越好。但抽頭越多,成本越高,調整也越困難。
均衡器調節準則
在有限抽頭情況下,均衡器的輸出必定存在剩餘失真。怎樣調節才算是將均衡器的抽頭係數調到了最佳狀態,這取決於採用什麼樣的準則。均衡器調節準則有最小峰值失真準則和最小均方失真準則。
(1)最小峰值失真準則
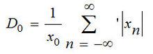
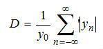
均衡器輸出的波形中,除y0以外的所有yn都屬於波形失真引起的碼間串擾。系統衝擊回響的峰值失真定義為:
自適應均衡
自適應均衡 式中符號表示求和時不包括n=0項,因而D表示的是所有碼間串擾量的絕對值之和與y0之比。
自適應均衡 當均衡器抽頭增益Cn=0(n0)和C0=1時,所得到的峰值失真稱為初始失真,記為D0,它反映了未均衡系統(即均衡器輸入)衝激回響的峰值失真,即
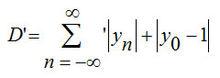
自適應均衡 如果以yn=0(n0)、y0=1作為不失真的標準,則峰值失真也可定義為:
自適應均衡 式中D’表示各樣點值與理想值偏差的絕對值之和。
均衡器的任務是,在輸入波形給定的條件下(即給定初始失真D0),求解最佳抽頭增益係數CK,使均衡後的峰值失真D極小化。均衡器的這種調節依據稱為最小峰值失真準則。
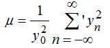
(2)最小均方失真準則
系統衝激回響的均方失真定義為:
自適應均衡 式中:符號也表示求和時不包括n=0項,y0和yn的含義與前述相同。所以μ表示的是所有碼間串擾量的均方值之和與y02之比。
對於任何給定的輸入波形,如果按照使均衡器輸出端的均方失真最小的準則去調節橫向濾波器,這種調節依據稱為最小均方失真準則。
自適應均衡器
自動均衡器有預置式均衡器和自適應均衡器。預置式均衡器是在數據傳輸開始時先傳送一個特殊的測試脈衝序列,用以調整各抽頭係數增益,使均衡器收斂。在數據傳輸過程中就不再調整。自適應均衡器直接從傳輸的實際數位訊號中根據某種算法不斷調整增益,較能適應信道的隨機變化,使均衡器總是保持最佳的工作狀態,對失真補償的性能更好。它們的目標都是將抽頭係數調整到最佳。
實際系統中,往往把自適應式和預置式兩種方法結合起來使用。這種系統正式工作前,先發一定長度的測試脈衝序列又稱訓練序列以調整均衡器的抽頭係數,使均衡器基本上趨於收斂,然後再自動改為自適應工作方式,使均衡器維持最佳狀態。這樣既加快了均衡器的收斂速度,又克服一般預置式工作的缺點,從而大大提高了均衡器的性能。自適應均衡器一般按最小均方誤差準則來構成。
自適應算法根據不同的最佳準則,可得到最小均方算法(LMS)、遞歸最小二乘算法(RLS)、維特比(Viterbi)算法(其實質就是最大似然比算法)等。
對於窄帶TDMA數字移動通信系統,一般採用非線性均衡器,其中主要有判決反饋均衡器和維特比均衡器。
