臨床決策分析
(一)概論
臨床醫生經常為病人的診斷、治療作出決定。這些臨床決定亦即臨床決策(clinicaldecision)。所謂決策(decisionmaking)就是為達到同一目標在眾多可以採取的方案中選擇最佳方案。在臨床處理病人的病情時,由於疾病臨床表現複雜多變,診治方法多種,有些藥物還可能產生一些不良反應,患者的心理變化等等,促使醫師在考慮上述情況後作出全面和合理的選擇。
決策分析的基本步驟有以下四步:
1.供臨床選擇的治療方法有時很多,此時要篩除一些“劣”的決策,有利於下一步的分析。
2.確定各決策可能的後果,並設定各種後果發生的機率。
3.確定決策人的偏愛,並對效用賦值。
4.在以下三步基礎上去選擇決策人最滿意的決策,即期望效用最大的決策。
(二)診斷決策樹模型
臨床決策分析的模型很多,為說明診斷決策問題,在此介紹決策樹模型。決策樹(de-cisiontree)是一種能夠有效地表達複雜決策問題的數學模型。
決策樹由一些決策點、機會點和決策枝、機會枝組成。一般用圓圈“○”表示機會點,發生的結果不在醫師的控制之下;小方框“□”表示決策點,在決策點,醫師必須在幾種方案中選取一種;決策點相應的分枝稱為決策枝;機會點相應的分枝稱為機會枝。
下面介紹由JCSisson等人的一個關於胰腺癌的決策樹模型(圖6-4)。
臨床決策分析圖6-4對疑似胰腺癌患者的診斷決策樹
(Lowenthal.1976)
胰腺癌常常難以在疾病的早期作出診斷,當發現時癌腫已有轉移,患者多在短期內死亡。最可能患胰腺癌者包括40歲以上,中腹部疼痛持續1~3周的人。假設這類人中胰腺癌的發生率為12%。如有一種不冒什麼風險的早期診斷方法對胰腺癌的檢出率為80%(敏感度),但對有類似症狀的非胰腺癌患者的假陽性率為5%,用此法診斷確診的胰腺癌患者手術死亡率為10%,治癒率為45%。
根據上述疾病機率,診斷機率和死亡、治癒機率,如對1000人進行診斷、治療,其所獲得的益處,是否比不進行診斷檢查和手術更大?可以用一個決策樹(圖6-4)進行分析比較。
從以上決策樹可見,不作該項檢查的死亡者為12例,均為胰腺癌病人。用該項檢查手術後死亡12.5人,其中有5例為非胰腺癌病人。而且新的檢查使44例非胰腺癌患者的胰腺功能因手術而可能受到損害。因此這項檢查對病人是弊大於利,不宜使用。
(三)治療決策分析
臨床上處理病人時,常遇到這樣幾種情況:①不必作檢查,也不必治療,暫時觀察;②先做檢查,根據其結果酌情處理;③不用檢查,直接給予治療;④已作各方面檢查,但仍難以確診。對病人是否作進一步治療,目前往往靠醫生的經驗。現介紹閾值分析法即用定量分析方法判斷治療與否會更全面和準確。
使用該法的前提是:只考慮一種疾病,病人患有該病或不患該病,雖經各種檢查,但目前仍難以確診;現有一種療效肯定的治療方法可供採用。如果不及時治療,可能有發生併發症的危險,而治療就肯定會帶來好處。閾值分析法原理:如果患者患某病的機率大於治療閾值,則應給予治療;如果該病機率小於治療閾值,則可暫不治療作進一步檢查。
根據可靠的病史資料,診斷檢查的準確性,治療的效果以及檢查、治療的潛在危險性,可以算出兩個閾值機率,即檢查閾值機率(T1)和治療閾值機率(T2)。
策略①②③
不治療 檢查 治療
閾值機率T1 T2
圖6-5閾值機率與決策(麥良壽.1987)
根據病史和一般檢查結果估計患病機率P,假如某病人的患病機率P小於T1則選策略①,暫先觀察;P大於T2則選策略③,直接給予治療;P介於T1和T2之間,則選策略②,先做檢查。
根據以往資料得到治療的效益(B),治療的危險性(R2),檢查的危險性(R1),檢查的真陽性率(TP),真陰性率(TN),假陽性率(FP)和假陰性率(FN),按下式計算T1,T2:
臨床決策分析(式6-6)
例:男性患者,60歲,上腹部疼痛,嘔血,上消化道鋇餐檢查提示胃大彎有一個2cm大小潰瘍。面對患者,醫師需作臨床決策,即:
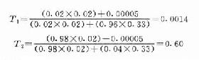
下一步處理是胃鏡檢查,還是剖腹探查術,或者兩者均無必要?結合病史及鋇餐檢查結果,再根據以往的經驗,胃鏡科醫生與放射科醫生認為患者胃癌的機率約0.1。另外,年齡60歲其剖腹探查術死亡率(R2)為2%。早期手術的效益(B)為生存率提高33%,胃鏡檢查死亡率(R1)約0.005%,真陽性TP為96%,假陽性FP為2%。即已知B=0.33,R1=0.00005,R2=0.02,TP=0.96,FP=0.02,TN=0.98,FN=0.04。
把上述數據代入公式:
臨床決策分析算出T1=0.0014,T2=0.60,患者的患病機率為0.1,處於T1和T2之間,選策略②,因此患者的處理應是先做胃鏡檢查。
由上述可見,醫師在作出臨床決策之前,要設法了解各種狀態下發生的機率,從而使其所採取的策略更為合理。目前,臨床決策分析仍處於起步階段,臨床醫師一般習慣於根據自己的知識經驗和習慣來作出臨床決策。隨著微型計算機在臨床上的套用日益普遍,臨床信息的貯存和處理在各醫院廣泛開展,將使臨床決策分析會得到不斷完善和發展。

