產品介紹
有的轎車發動機冷卻系統設計有膨脹箱。膨脹箱殼體上標註有上刻線和下刻線。加注冷卻液到上線時,表示冷卻液已加滿,不可再加注;加注冷卻液到下線時,表示冷卻液加的量不夠,可再加注一點;將冷卻液加注到兩刻線之間時,表示加注的量合適。另外,發動機在加注防凍液之前,應抽真空。如無條件抽真空,在加注防凍液之後,應排淨冷卻系內的空氣。否則,空氣隨發動機水溫增高到一定程度時,冷卻系統內的水蒸氣壓力增大。氣泡壓力能使防凍液流動阻力增大,從而流動緩慢,使散熱器散出的熱量少,發動機溫度增高。為防止此問題發生,膨脹箱蓋內設計有蒸氣壓力閥,在冷卻系統內壓力大於110~120kPa時,壓力閥打開,氣體就從此孔泄出。如果冷卻系內水少了,將形成真空,由於冷卻系內的散熱器水管比較薄,會被大氣壓壓扁。但膨脹箱蓋內設有真空閥,當真空度小於80~90kPa時,真空閥打開,讓空氣進入冷卻系統,防止水管被壓扁 。
溶液膨脹箱
在蓄冷系統閉式流程中,要解決溶液的膨脹問題。冰蓄冷系統中,溶液的膨脹是由溶液溫度變化而引起的。
在蓄冷系統閉式流程上設定溶液膨脹箱,其目的是當溶液溫度變化時,可補償系統中載冷劑的體積變化,避免載冷劑的溢出;及時排除系統內不凝性氣體,有利於系統的正常工作;利用膨脹箱到系統管路的靜壓液柱,使溶液泵正壓工作 。
溶液膨脹箱連線形式
閉式壓力式膨脹箱宜採用直接連線。閉式壓力式膨脹箱為一密閉容器,內部以不同形式的隔膜,將下部溶液空間與上部氣體空間隔開。當系統溶液體積增加時,箱內氣體被壓縮。其特點是溶液不會與空間接觸,不會蒸發,管道等配件不易腐蝕;運行可靠;可設定在任何標高上。但費用較高。
開式膨脹箱採用直接連線,一般為上部開口通大氣的容器。其特點是裝置簡單可靠易行,費用少。但必須設定在系統的最高點,要求箱底高於最高點。
溶液膨脹箱容積確定
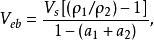
(1)閉式膨脹箱容積
閉式膨脹箱容積可按下式計算:
膨脹箱
膨脹箱式中,為閉式膨脹箱有效容積(m );
膨脹箱為在最低溫度t時,系統中載冷劑的體積(m );
膨脹箱為溫度t條件下,載冷劑密度(kg/m );
膨脹箱為最高溫度條件下,載冷劑密度(kg/m );
膨脹箱為在t狀態下,低液位時,膨脹箱的剩餘空間,一般取10%;
膨脹箱為在最高溫度下,高液位時,膨脹箱上部氣體空間,一般可取20%。
(2)開式膨脹箱容積
開式膨脹箱容積可按下式計算:
膨脹箱
膨脹箱式中,為開式膨脹箱有效容積(m );
膨脹箱各符號意義同前。
封裝冰蓄冷系統溶液膨脹箱容積確定
當在冰球、冰板等封裝容器內蓄冰時,如果封裝容器內設有預留水在凍結時的膨脹空間,則需依靠封裝容器的體積增大而補償水凍結的體積膨脹。這樣,膨脹箱的容積應考慮封裝容器體積膨脹所排擠的載冷劑。由於冰水相變體積膨脹率約為9%,所需容納載冷劑的箱體體積頗大,因此應特別予以注意。
(1)閉式壓力式膨脹箱容積
閉式壓力式膨脹箱容積可按下式確定:
膨脹箱
膨脹箱式中,為閉式膨脹箱有效容積(m );
膨脹箱為封裝冰蓄冷裝置內單元容器體積(m );
n為封裝冰蓄冷裝置內單元容器數量;
膨脹箱為最低壓力,取系統靜壓為35kPa;
膨脹箱為最高壓力(kPa);
1.2為餘量係數;
0.09為相變凝固時體積的膨脹係數。
(2)開式膨脹箱容積
開式膨脹箱容積可按下式確定:
膨脹箱
膨脹箱式中,為開式膨脹箱容積(m );
膨脹箱符號意義同前 。

