結構
聲光調製器聲光調製是基於聲光效應而實現的。聲光調製器由聲光介質、電-聲換能器、吸聲(或反射)裝置及驅動電源等組成,其結構如右圖所示。
聲光介質是指聲光相互作用的區域。當一束光通過變化的聲場時,由於光和超聲場的相互作用,其出射光就具有隨時間而變化的各級衍射光,利用衍射光的強度隨超音波強度的變化而變化的性質,就可以製成光強度調製器。
電-聲換能器(又稱超聲發生器)可以利用某些壓電晶體(如石英、LiNbO3等)或壓電半導體(如CdS、ZnO等)的反壓電效應,在外加電場作用下產生機械振動而形成超音波,因此它起著將調製的電功率轉換成聲功率的作用。
吸聲(或反射)裝置放置在超聲源的對面,用以吸收已通過介質的聲波(工作於行波狀態),以免返回介質產生干擾,但要使超聲場為駐波狀態,則需要將吸聲裝置換成聲反射裝置。
驅動電源用以產生調製電信號施加於電聲換能器的兩端電極上,驅動聲光調製器(換能器)工作。
工作原理
聲光調製是利用聲光效應將信息載入於光頻載波上的一種物理過程。調製信號是以電信號(調幅)形式作用於電聲換能器上,再轉化為以電信號形式變化的超聲場,當光波通過聲光介質時,由於聲光作用,使光載波受到調製而成為“攜帶”信息的強度調製波。
聲光調製器
聲光調製器無論是拉曼-納斯衍射,還是布拉格衍射,其衍射效率均與附加相位延遲因子 有關,而其中聲致折射率差Δn正比於彈性應變S幅值,而S正比於聲功率P,故當聲波場受到信號的調製使聲波振幅隨之變化時,衍射光強也將隨之做相應的變化。布拉格聲光調製特性曲線與電光強度調製相似,如右圖所示。可以看出:衍射效率η與超聲功率P是非線性調製曲線形式,為了使調製波不發生畸變,則需要加超聲偏置,使其工作線上性較好的區域。
聲光調製器
聲光調製器
聲光調製器對於拉曼-納斯型衍射,工作聲源率低於10MHz,右圖(a)出了這種調製器的工作原理,其各級衍射光強為 的倍數。若取某一級衍射光作為輸出,可利用光闌將其他各級的衍射光遮擋,則從光闌孔出射的光束就是一個隨 變化的調製光。由於拉曼-納斯型衍射效率低,光能利用率也低,當工作頻率較高時,乘余的作用區長度L太小,要求的聲功率很高,因此拉曼-納斯型聲光調製器只限於在低頻工作,只具有有限的頻寬。
對於布拉格型衍射,其衍射效率給出。布拉格型聲光調製器工作原理如右圖(b)所示。在聲功率P(或聲強I)較小的情況下,衍射效率η隨聲強度I單調地增加(呈線性關係),則
聲光調製器式中,cosθ因子是考慮了布拉格角對聲光作用的影響。因此,若對聲強加以調製,衍射光強也就受到了調製。布拉格衍射必須使光束以布拉格角θ入射,同時在相對於聲波陣面對稱方向接收衍射光束時,才能得到滿意的結果。布拉格衍射由於效率高,且調製頻寬較寬,故多被採用。
調製頻寬
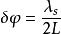
調製頻寬是聲光調製器的一個重要參量,它是衡量能否無畸變地傳輸信息的一個重要指標,它受到布拉格頻寬的限制。對於布拉格型聲光調製器而言,在理想的平面光波和聲波情況下,波矢量是確定的,因此對給定入射角和波長的光波,只能有一個確定頻率和波矢的聲波才能滿足布拉格條件。當採用有限的發散光束和聲波場時,波束的有限角將會擴展,因此,在一個有限的聲頻範圍內才能產生布拉格衍射。根據布拉格衍射方程,得到允許的聲頻頻寬Δf與布拉格角的可能變化量Δθ之間的關係為
聲光調製器式中,Δθ是由於光束和聲束的發散所引起的入射角和衍射角的變化量,也就是布拉格角允許的變化量。設入射光束的發散角為δθ,聲波束的發散角為δφ,對於衍射受限制的波束,這些波束髮散角與波長和束寬的關係分別近似為
聲光調製器式中,ω為入射光束束腰半徑;n為介質的折射率;D為聲束寬度。顯然入射角(光波矢k與聲波矢k之間的夾角)覆蓋範圍應為:Δθ=δθ+δφ
聲光調製器若將角內傳播的入射(發散)光束分解為若干不同方向的平面波(即不同的波矢k),對於光束的每個特定方向的分量在δφ範圍內就有一個適當頻率和波矢的聲波可以滿足布拉格條件。而聲波束因受信號的調製同時包含許多中心頻率的聲載波的傅立葉頻譜分量。因此,對每個聲頻率,具有許多波矢方向不同的聲波分量都能引起光波的衍射。於是,相應於每一確定角度的入射光,就有一束髮散角為2δφ的衍射光,如右圖所示。
而每一衍射方向對應不同的頻移,故為了恢復衍射光束的強度調製,必須使不同頻移的衍射光分量在平方律探測器中混頻。因此,要求兩束最邊界的衍射光(如圖中的OA′和OB′)有一定的重疊,這就要求δφ≈δθ,若取δφ≈δθ=λ/πnω,則調製頻寬為
聲光調製器
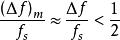
聲光調製器上式表明,聲光調製器的頻寬與聲波穿過光束的渡越時間()成反比,即與光束直徑成反比,用寬度小的光束可得到大的調製頻寬。但是光束髮散角不能太大,否則,0級和1級衍射光束將有部分重疊,會降低調製器的效果。因此,一般要求δθ<δφ,於是可得
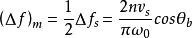
聲光調製器即最大的調製頻寬(Δf)近似等於聲頻率f的一半。因此,大的調製頻寬要採用高頻布拉格衍射才能得到。
衍射效率
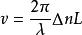
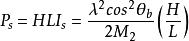
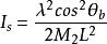
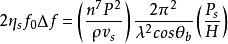
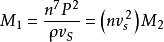
聲光調製器的另一重要參量是衍射效率。根據聲光晶體的相關知識,要得到100%的調製所需要的聲強度為
聲光調製器若要表示所需的聲功率,則為
聲光調製器
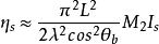
聲光調製器可見,聲光材料的品質因數M越大,欲獲得100%的衍射效率所需要的聲功率越小。而且電 聲換能器的截面應做得長(L大)而窄(H小)。然而,長度L的增大雖然對提高衍射效率有利,但會導致調製頻寬的減小(因為聲束髮散角δφ與L成反比,δφ值小意味著小的調製頻寬)。令,頻寬可寫成
聲光調製器由此解出L,並套用聲光晶體的相關知識可得
聲光調製器
聲光調製器
聲光調製器式中,f為聲中心頻率()。引入因子,M為表征聲光材料的調製頻寬特性的品質因數。M值越大,聲光材料製成的調製器所允許的調製頻寬越大。

