總水頭
總水頭
總水頭
總水頭
總水頭
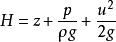
總水頭地下水的機械能包括動能和勢能,水力學中用總水頭(hydraulic head)H表示,量綱為[L]:,式中為位置水頭(重力勢);為壓力水頭(壓力勢);p為壓強;為水的密度;為重力加速度;為流速水頭(動能)。

地下水的機械能包括動能和勢能,水力學中用總水頭(hydraulic head)H表示,量綱為[L]。
總水頭
總水頭
總水頭
總水頭
總水頭
總水頭地下水的機械能包括動能和勢能,水力學中用總水頭(hydraulic head)H表示,量綱為[L]:,式中為位置水頭(重力勢);為壓力水頭(壓力勢);p為壓強;為水的密度;為重力加速度;為流速水頭(動能)。
總水頭線是指水流沿流程各斷面總水頭頂端的連線。總水頭線是在測壓管水頭線的基線上再加上流速水頭,它反應的是流體的總能量,由於沿流向總是有水頭損失,所以總水...
簡介 示意圖 特點 水頭線 測壓管水頭線水頭鎮,位於南安市南部沿海,中國石材城。與廈門經濟特區接壤,有泉州“南大門”之稱。全鎮面積117平方公里,人口10.3萬,是閩南僑鄉重鎮,福建省首批命名...
歷史沿革 行政區劃 地理環境 自然資源 人口民族水電站上、下游水位的差值。上游水位減去下游水位稱毛水頭。毛水頭減去水頭損失,稱淨水頭。水頭損失是指上游水流由取水口(前池或調壓井處)經高壓管道至蝸殼進口...
概述 電站分類潮汐電站正常運行情況下,作用水頭的最小值。一般是指水庫死水位與水輪機預想出力所對應的下游水位之差。
水電站的最大水頭和最小水頭 分析典型日受阻出力及受阻電量的計算 設計水頭的確定方法速度水頭,又稱流速水頭。即流體運動速度的平方與兩倍的重力加速度的比值。其幾何意義為元流過流斷面上單位重量流體所具有的流速高度,相當於不計射流自重和空氣阻...
定義 相關方程 主要意義水流在運動過程中單位質量液體的機械能的損失稱為水頭損失。產生水頭損失的原因有內因和外因兩種,外界對水流的阻力是產生水頭損失的主要外因,液體的粘滯性是產生...
水頭損失的分類 計算方法水頭:液體恆元流的能量方程是按照任意點參考坐標平面以上的幾何高度來計算的,其中壓強、流速、能量損失都是按照此種方法來計算,故總的能量可用大致總水頭來概括...
水頭鎮位於南安市南部,距市區28千米。面積117平方千米,常住人口147337人(第六次人口普查)。轄1個社區、28個行政村。鎮政府駐廈盛路。324國道...
歷史沿革 地理環境 行政區劃 人口民族 基礎設施