根據縫隙的不同,有不同的縫隙液流方式。
平行平板縫隙液流
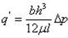
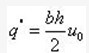
在兩塊平行 平板之間所形成的縫隙間隙,充滿液體,縫隙高度為h,寬度b和長度L。若縫隙兩端存在壓差△p=p1-p2,液體就會流動;即使沒有壓差△p的作用,如果兩塊平板有相對運動,由於液體粘性的作用,液體也會被平板帶著產生運動。
(1)當平行平板間沒有相對運動,通過的液流由純壓差引起,稱為壓差流動,其流量值為


環形縫隙液流
液壓元件各零件間的配合間隙大多數為圓形間隙。理想情況下為同心環形縫隙;但實際上,一般多為偏心環形縫隙。經計算,最大偏心情況下的流量為同心環形縫隙流量的2.5倍。因此在液壓元件中,為了減小縫隙泄漏量,應採取措施,儘量使其配合件處於同心狀態。
圓環平面縫隙
當圓環與平面之間無相對運動,液體自圓環中心向外輻射流出。
