定義
從積分變換的定義開始:
線性標準轉換
線性標準轉換
線性標準轉換
線性標準轉換積分變換是將輸入的訊號f(t)經由核心(Kernel)K(t, u)的作用後對應後的輸出結果即是另一個函式 ,此時 稱作是 的積分變換。
線性標準轉換(LCT)以一般的線性積分變換關係表示如下:
並且需要滿足此條件:
線性標準轉換
線性標準轉換
線性標準轉換
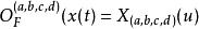
線性標準轉換此時的 表示的是訊號 經過線性標準變換過後的結果 而我們通常使用 作為線性標準轉換的操作函式,也就是:
線性標準轉換
線性標準轉換
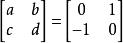
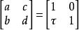
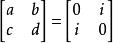
線性標準轉換另外,線性標準轉換(LCT)也可用簡單的2x2的矩陣以及一個行列式限制條件來表示,如同矩陣 ,其條件為
矩陣形式在時頻分析中所代表的意義是將時頻域上的平行四邊形面積扭曲成另一個平性四邊形面積,而不同的特殊情形的矩陣形式則分別代表不同的幾何轉換
特殊情形
線性標準轉換是許多經典轉換的廣義化。透過將矩陣形式帶入不同的變數所得到的特殊情形如下,以下舉出的轉換在時頻分析上均有訊號在時頻域運動的意義。例如:
線性標準轉換分數傅立葉變換,代表將時頻域上的面積做 度的旋轉,其積分變換形式為:
線性標準轉換若寫成矩陣的形式為:
線性標準轉換傅立葉變換,傅立葉變換的定義:
線性標準轉換對任意實數 u
可以將LCT整理成為以下形式:
線性標準轉換
線性標準轉換此時即是分數傅立葉變換中,當 的特殊情形,代表將時頻域上的面積做 度的旋轉。另外寫成矩陣的形式則為:
線性標準轉換傅立葉反變換,傅立葉反變換的定義:
對任意實數 u
可以將LCT整理成為以下形式:
線性標準轉換
線性標準轉換
線性標準轉換此時即是分數傅立葉變換中,當 的特殊情形,也就是代表將時頻域上的面積做 度的旋轉。另外寫成矩陣的形式則為:
線性標準轉換菲涅爾轉換(Fresnel transform),用來描述電磁波在空氣中傳播的情形,代表將時頻域上的面積做時間方向上的切變,若將其寫成矩陣的形式為:
線性標準轉換拉普拉斯轉換(Laplace transform),代表將時頻域上的面積對其複數平面做+90度的旋轉,其矩陣如下:
線性標準轉換分數拉普拉斯轉換,代表將時頻域上的面積對其複數平面做任意角度的旋轉,其矩陣如下:
線性標準轉換啾啾聲載波(chirp multiplication),其定義是如下:
線性標準轉換寫成矩陣的形式為:
線性標準轉換特性
加成性:
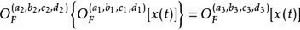
當我們將兩個參數矩陣不同的LCT組合起來,也就是對同一個訊號做兩次線性標準轉換。這樣的結果相當於將兩矩陣的乘積後的矩陣作為參數的線性標準轉換,並以此新的LCT對原始訊號作用後得到的結果。最常見是維格納分布(wigner distribution function, WDF)中的加法特性。
線性標準轉換當使用 來表示LCT的作用時:
線性標準轉換若現在有兩種轉換
線性標準轉換和
線性標準轉換
線性標準轉換兩者依序對 作用
則有第三種LCT其參數為前兩者的矩陣形式的乘積
線性標準轉換將滿足:
線性標準轉換用矩陣來表示為:
線性標準轉換
線性標準轉換
線性標準轉換
線性標準轉換
線性標準轉換因此,若是 是 做WDF,而 是 做LCT,可以表示成:
線性標準轉換此兩式互為相同含意,因此可知反向LCT的就是由四個參數代表矩陣的反矩陣。
結合律:
當現在有三種參數不同的LCT依序對{\displaystyle x(t)}作用,則前兩者先作用第三種再作用的結果會與,後二者先作用再由第一種作用的結果相同。
LCT的訊號扭曲運用
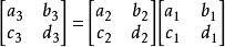
利用LCT的特性,可以把原本的訊號轉變成另外的形式,此過程可以輕易的用LCT來將一個矩形的區域,變成另外一個平行四邊形區域,此概念是利用線性代數上的基底變換,來把原本的基底換成另外一種型式來呈現,因此要符合線性代數中基底變換的限制,其中心點為(0,0),若無法滿足此條件,則無法使用LCT的線性轉換公式,並且此轉換的行列式為1,不會改變原來區域的面積大小,並且轉換前後皆為平行四邊形,因此可以把一些不好運算的平行四邊形,藉由LCT的方式,轉換到比較容易計算或是比較容易理解的基底,有利於運算的考量。 舉例來說:
在二維的平面上,若已知兩個平面個別為,一個中心點為原點的矩形,四個點分別為:(-1,2),(1,2),(-1,-2),(1,-2),和經過LCT的轉換可以變成中心點為原點的平行四邊形,其四個點為:(1,1),(7,3),(-7,-3),(-1,-1),可以藉由其中兩個點來解聯立方程式,算出a,b,c,d,所代表的數值,
線性標準轉換其總面積皆為:8
