定義
線天線測量是指對描述線天線電性能的主要參數的測量。
輻射方向性圖測量
超短波天線因其結構尺寸較小,可以把待測天線安裝在天線測試架上,用旋轉天線法測量輻射方向性圖。天線方向性圖自動描繪儀如圖所示,由信號源、接收機、天線測試架(轉台)、可變衰減器、自動記錄器、輔助天線和伺服系統等組成。如用待測天線作發射天線,先根據天線尺寸和工作頻率確定天線最小測試距離和架設高度,將待測天線裝在轉台上,使待測天線相位中心通過轉台轉軸;輔助天線可以相同極化形式安裝在同一高度,並對準待測天線。測量時射頻信號經可變衰減器加到待測天線,並利用定向耦合器從信號源分出小部分信號功率直接加到轉接器,該信號與輔助天線收到的信號進行比較,以差值信號加到伺服機構、控制可變衰減器,改變發射天線功率,使兩信號相等,比較器輸出為零。由於記錄筆與衰減器同步,記錄儀紙帶速度由旋轉和定標角度部分來調節,在待測天線水平旋轉時即可自動描繪天線水平方向性圖。自動描繪儀的優點是測量結果與信號源功率和接收機靈敏度的變化無關,並可提供足夠大的動態測量範圍。如果要測量垂直方向性圖,只要將天線以通過相位中心的水平線為軸,使之變成俯仰角方向轉動即可描繪垂直方向性圖。或將收、發天線極化方向旋轉90。同樣在水平面測量,也可得到垂直方向性圖。
線天線測量增儀測量
超短波天線增益測量方法根據具體條件不同可有三種。
(1)比較法把待測天線與已知增益的標準天線在相同條件下進行比較測試,得出待測天線的增益。
(2)兩相同天線法如果沒有標準天線,可用兩個完全相同的待測天線,在天線測試場中相互對準,一個天線接信號源,用功率計測出天線輸入功率P0,另一個天線接匹配終端功率計,測出天線接收功率Pr,再測出收、發天線的距離R和波長λ,天線的增益為
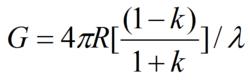
線天線測量(3)反射屏法(鏡像法)兩相同天線法的發展。將待測天反射屏大於Rmin/2處(Rmin為最小測試距離),用理想導電反射屏上的天線鏡像來代替另一個天線。該方法的最大優點是只要一副天線。測量時,在放入金屬屏以前必須使天線與饋線精密匹配,要求行波係數k≥0.95。放入金屬屏後,由於饋線的入射波與金屬屏鏡像耦合產生的反射波干涉,在饋線上形成駐波,用測量線測出行波係數k,則天線的增益為
線天線測量,式中R為天線到屏距離的兩倍;λ為波長。此時反射屏的大小應該使待測天線方向性圖主瓣張角小於天線對屏的張角;屏的不平坦度應小於λ/16。為提高測量精度,可取幾次測試的平均值。
阻抗和駐波測量比
阻抗和駐波比測量可用阻抗圖示儀、駐波測量儀、測量線、網路分析儀和自動網路分析儀測試。後二種網路分析儀測試方便、精度高,但價格貴。常用阻抗圖示儀和駐波測量儀測量。①用阻抗圖示儀測量將待測天線用饋線接到圖示儀的測試端上,經調製的掃頻信號由於天線的阻抗與傳輸線阻抗不同而產生反射,從而引起駐波。用定向耦合器從射頻網路中將入射波和反射波分別取出,經檢波和低頻放大後在阻抗圓圖上顯示或通過伺服電路進行自動記錄。②用駐波測量儀測量駐波測量儀由同軸T型接頭組成,接頭的一個側臂接信號源,另外兩個直通臂分別接可變電容和被測負載,並在T型連線處裝有帶檢波器的圓截止波導。測量時把待測天線接在負載臂,按測試頻率將可變電容調到此頻率點上。旋轉圓截止波導,就像測量線中移動探針一樣可檢出Uma×和Umin,從而確定天線駐波比,S=Uma×/Umin,從最小值處的刻度可讀出反射係數的相角,由此可從阻抗圓圖求得天線的輸入阻抗。
效率測量
天線效率是天線輻射功率與輸入功率之比,用通過式功率計測出天線輸入功率,用方向性圖積分法確定天線輻射功率,即可求出效率。超短波天線效率較高,一般均達90%以上。
