簡介
維里展開式是按密度將壓縮因子展開成冪級數表達式的方程式。其形式為:
維里展開式
維里展開式
維里展開式式中,B 稱為第二維里係數;C 稱為第三維里係數;D稱為第四維里係數。它們與氣體的種類有關,而且是溫度的函式,在某一溫度下,維理係數為0,實際氣體行為就和理想氣體近似。而且從以上兩式可以看出摩爾體積越大,氣壓越低,則氣體的行為越趨近於理想氣體。當壓力p→0,體積V→ 時,維里方程還原為理想氣體狀態方程。
特殊形式的維里展開式
不考慮分子間的作用力;
維里展開式只考慮兩個分子間的作用力:
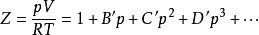
維里展開式用壓力冪級數表示的維里展開式
維里展開式B',C',D'也稱為維里係數,對於純物質它們也是溫度的單值函式。
關於維里係數的幾點說明
(1)對於純物質,維里係數是溫度的單值函式;
(2)維里係數實際上就是考慮物質分子間相互作用力所作的修正。所以,維里係數的大小,與不同大小集團中分子間相互作用力有關;
(3)如第二維里係數與兩個分子間的作用力有關;第三維里係數與三個分子間的相互作用力有關等等;
(4)維里係數可套用統計力學的原理通過計算而獲得。
推導過程
理想氣體狀態方程的表達式:
維里展開式引入壓縮因子Z,其大小反映出真實氣體對理想氣體的偏差程度,計算定義是Z等於V(真實)除以V(理想),Z是一個趨近於1的數字,在後面加入級數來進行修正即得到維里展開式。
適用範圍
維里展開式有堅實的理論基礎。用統計力學方法能導出維里係數,並賦予維里係數明確的物理意義:第二維里係數表示氣體兩個分子相互作用的效應,第三維里係數表示三個分子的相互作用,等等。原則上可以從理論上導出各個維里係數的計算式,但實際上高級維里係數的運算是十分困難的,目前除了簡單的鋼球模型外,還只能算到第三維里係數,通常維里係數由實驗測定。
套用領域
對於液相和汽相,維里展開式描述一個P-V等溫過程更靈活,因為方程有較高次冪的體積、它們比三次狀態方程更精確,普遍化主要是針對烴化合物。因此,對於這些化合物能夠獲得極好的結果,不推薦將它們用於極性化合物。
定律影響
維里展開式在高密度區的精度不高,但由於具有理論基礎,適應性廣,很有發展前途。B-W-R方程、M-H方程都是在它的基礎上改進得到的。
工程中使用的維里展開式
工程中使用的維里展開式,一般是以壓力為冪級數展開的形式,主要原因是因為:以壓力為變數的方程用起來更方便;
該方程中的維里係數,可以通過計算獲得;
維里展開式適用於低密度和中密度氣體,對高密度氣體誤差較大;
維里展開式不僅在中、低密度區有著廣泛的套用,而且,從數學上看還是壓縮因子的冪級數展開式。因此,可用維里展開式計算壓縮因子。
