航高分類
航高是攝影機相對某一水準面的高度。隨基準面的不同,航高可分為:①絕對航高,即相對於平均海平面的航高;②相對航高,即相對於某一基準面的航高。
比例尺的測算方法
航空像片上比例尺測算方法一般有3種, 即主比例尺、平均比例尺和局部比例尺。 不管採用哪種方法都涉及到航空像片上的點同地形圖上相應的點進行匹配, 為了使匹配準確, 一般採用明顯地物點 。
主比例尺
比例尺根據焦距和航高來計算, 航空像片的焦距一般為已知,航高可向航測單位索取,根據 1/f=f/求出像片比例尺。由於航測單位提供的航高是像主點的航高,因此,用其計算的比例尺只能概略代 表該像片的比例尺。
利用航測地區地形圖或實測進行計算
在航空像片上找到兩個明顯地物點,測量其長度l;再在地形圖上找到相應的這兩個點,量測其長度;根據地形圖比例尺.求出兩點間的實際長度L。
根據比例尺的定義有:
像片比例尺:1/m=l/L
這種測算比例尺的方法簡單,易操作,但很粗略。為了提高精度,應使線段儘量通過中心點。為便於比較,應選用了多個明顯地物點分別測算其平均比例尺。
平均比例尺的計算
絕對航高
絕對航高
絕對航高
絕對航高
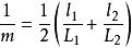
絕對航高在通過中心點的對角線方向上,選擇一對近似正交的線段,量測其像片上長度 、 ,利用地形圖,求出其實際長度 、 ,則像片的平均比例尺為:
這種方法測算的比例尺具有較好的精度。
局部比例尺
局部比例尺又稱點比例尺。在實際工作中,特別是林業生產中,套用航片測定的對象常常是細小的地物,如標定樣地面積,測定樹冠直徑,換算樣地林木株數等,量測精度要求非常高。而在山區,地形起伏較大,常使用局部比例尺。因同一張像片上各點的海拔高度不同,局部比例尺亦不同,局部比例尺須逐點計算。
局部比例尺一般不用線段長度之比來測算,而用真航高計算。如果沒有真航高記錄,在有精確地形圖的條件下,可以採用改正法求算真航高和局部比例尺。
攝影航高
攝影航高常指攝影機對攝影地區平均高程基準面的航高,根據攝影航高確定的像片比例尺,稱為水平像片的平均比例尺。

