公式
有時候也表示成:
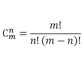
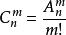
組合數公式(在舊版本里,排列數的字母寫作P)
組合數公式
組合數公式
組合數公式組合公式的推導是由排列公式去掉重複的部分而來的,排列公式是建立一個模型,從n個不相同元素中取出m個排成一列( 有序),第一個位置可以有n個選擇,第二個位置可以有n-1個選擇(已經有1個放在前一個位置),則同理可知第三個位置可以有n-2個選擇,以此類推第m個位置可以有n-m+1個選擇,則排列數為,而組合公式對應另一個模型,取出m個成為一組( 無序),由於m個元素組成的一組可以有m!種不同的排列(全排列),組合的總數就是
性質
組合數公式遞推公式
c(m,n)=c(m-1,n-1)+c(m-1,n)
等式左邊表示從m個元素中選取n個元素,而等式右邊表示這一個過程的另一種實現方法:任意選擇m中的某個備選元素為特殊元素,從m中選n個元素可以由此特殊元素的被包含與否分成兩類情況,即n個被選擇元素包含了特殊元素和n個被選擇元素不包含該特殊元素。前者相當於從m-1個元素中選出n-1個元素的組合,即c(m-1,n-1);後者相當於從m-1個元素中選出n個元素的組合,即c(m-1,n)。
c(n,0)+c(n,1)+c(n,2)+……+c(n,n)=2的n次方
相關運用:(a+b)的n次方的二項式定理的係數,即為此數列;任何集合的子集個數也為用為此數列,而得出為2的n次方個。
算法舉例
1、設15000件產品中有1000件次品,從中拿出150件,求得到次品數的期望和方差?
2、設某射手對同一目標射擊,直到射中R次為止,記X為使用的射擊次數,已知命中率為P,求E(X)、D(X)。
這兩題都要用到一些技巧。我先列出幾個重要公式,證明過程中提供變換技巧,然後把這兩個題目作為例題。
先定義一個符號,用S(K=1,N)F(K)表示函式F(K)從K=1到K=N求和。
公式1:
C(M-1,N-1)+C(M-1,N)=C(M,N)
公式1 證明:
方法1、可直接利用組合數的公式證明。
方法2、(更重要的思路)。
從M個元素中任意指定一個元素。則選出N個的方法中,包含這一個元素的有C(M-1,N-1)種組合,不包含這一個元素的有C(M-1,N)種組合。
因此,C(M-1,N-1)+C(M-1,N)=C(M,N)
公式2:
S(K=N,M)C(K-1,N-1)=C(M,N) (M》=N)
證明:C(M,N)是從M個物品中任選N個的方法。
從M個物品中任意指定M-N個,並按次序編號為第1到第M-N號,而其餘的還有N個。
則選出N個的方法可分類為:
包含1號的有C(M-1,N-1)種;
不包含1號,但包含2號的有C(M-2,N-1)種;
。。。。。。
不包含1到M-K號,但包含M-K+1號的有C(K-1,N-1)種
。。。。。。
不包含1到M-N-1號,但包含M-N號的有C(N,N-1)種不包含1到M-N號的有C(N,N)種,而C(N,N)=C(N-1,N-1)
由於兩種思路都是從M個物品中任選N個的方法,因此
S(K=N,M)C(K-1,N-1)=C(M,N)
公式3:
S(K=0,N)C(P,K)*C(Q,N-K)=C(P+Q,N) (P,Q)=N)
證明:一批產品包含P件正品和Q件次品,則從這批產品中任選N件的選法為C(P+Q,N)。而公式裡面的K表示選法中正品數量,
C(P,K)*C(Q,N-K)表示N件產品中有K件正品,N-K件次品的選法。K從0到N變化時,就包含了所有不同正品、次品數的組合。
因此,S(K=0,N)C(P,K)*C(Q,N-K)=C(P+Q,N)
公式4(一種變換技巧):
S(K=0,N)K*C(M,K)=S(K=0,N-1)M*C(M-1,K)
證明:
S(K=0,N)K*C(M,K)
=S(K=1,N)K*C(M,K)
=S(K=1,N)K*M!/K!/(M-K)!
=S(K=1,N)M*(M-1)!/(K-1)!/(M-K)!
=S(K=1,N)M*C(M-1,K-1)
=S(K=0,N-1)M*C(M-1,K)
公式5(公式4的同種)
S(K=0,N)K*(K-1)*C(M,K)
=S(K=0,N-2)M*(M-1)*C(M-2,K)
證明:(類似上式)
S(K=0,N)K*(K-1)*C(M,K)
=S(K=2,N)K*(K-1)*M!/K!/(M-K)!
=S(K=2,N)M*(M-1)*(M-2)!/(K-2)!/(M-K)!
=S(K=2,N)M*(M-1)*C(M-2,K-2)
=S(K=0,N-2)M*(M-1)*C(M-2,K)
公式4用於求數學期望,公式4、公式5結合起來可用於求方差。
例1、設15000件產品中有1000件次品,從中拿出150件,求得到次品數的期望和方差?
解:(本題利用公式3、4、5)
有K件次品的機率為:
P(K)=C(1000,K)*C(14000,150-K)/C(15000,150)
E(X)
=S(K=0,150)K*C(1000,K)*C(14000,150-K)/C(15000,150)
=S(K=0,149)1000*C(999,K)*(14000,149-K)/C(15000,150)
=1000*C(14999,149)/C(15000,150)
=10
D(X)
=S(K=0,150)(K-10)*(K-10)*C(1000,K)*C(14000,150-K)/C(15000,150)
=S(K=0,150)(K*K-K-19*K+100)*C(1000,K)*C(14000,150-K)/C(15000,150)
=S(K=0,150)K*(K-1)*C(1000,K)*C(14000,150-K)/C(15000,150)
-19*S(K=0,150)K*C(1000,K)*C(14000,150-K)/C(15000,150)
+100*S(K=0,150)C(1000,K)*C(14000,150-K)/C(15000,150)
=S(K=0,148)1000*999*C(998,K)*C(14000,148-K)/C(15000,150)
-19*S(K=0,149)*1000*C(999,K)*C(14000,149-K)/C(15000,150)
+100*S(K=0,150)C(1000,K)*C(14000,150-K)/C(15000,150)
=1000*999*C(14998,148)/C(15000,150)
-19*1000*C(14999,149)/C(15000,150)+100
=138600/14999
=9.240616041
此題推廣形式為:
設M件產品中有P件次品,從中拿出N件(N《=P),求得到次品數的期望和方差?
E(X)=P*N/M
D(X)=P*(P-1)*C(M-2,N-2)/C(M,N)
+(1-2*P*N/M)*P*C(M-2,N-2)/C(M,N)+(P*N/M)^2
例2、設某射手對同一目標射擊,直到射中R次為止,記X為使用的射擊次數,已知命中率為P,求E(X)、D(X)。
解:射中R次,使用的射擊次數為K次(K>=R),則前K-1次射中R-1次,第K次射中了,機率為:
P(K)=C(K-1,R-1)*P^R*(1-P)^(K-R)
(以下暫時用W表示無窮大)
射中R次,使用的射擊次數可為R次、R+1次...W次
因此S(K=R,W)P(K)=1 (這是機率的特點)
即:S(K=R,W)C(K-1,R-1)*P^R*(1-P)^(K-R)=1
以上證明的式子是另一個公式,即無論P,R是什麼數都成立,以下將套用這一公式。
E(X)
=S(K=R,W)K*C(K-1,R-1)*P^R*(1-P)^(K-R)
=S(K=R,W)K*(K-1)!/(R-1)!/(K-R)!*P^R*(1-P)^(K-R)
=S(K=R,W)R*K!/R!/(K-R)!*P^R*(1-P)^(K-R)
=S(K=R,W)R*C(K,R)*P^R*(1-P)^(K-R)
=R/P*S(K=R,W)C(K,R)*P^(R+1)*(1-P)^(K-R)
令K1=K+1,R1=R+1,則
E(X)=R/P*S(K1=R1,W)C(K1-1,R1-1)*P^R1*(1-P)^(K1-R1)
利用以上公式得
E(X)=P/R
D(X)
=S(K=R,W)(K-R/P)^2*C(K-1,R-1)*P^R*(1-P)^(K-R)
=S(K=R,W)(K*K-2*K*R/P+R*R/P/P)*C(K-1,R-1)*P^R*(1-P)^(K-R)
=S(K=R,W)[K*(K+1)-(K+2*K*R/P)+R*R/P/P]*C(K-1,R-1)*P^R*(1-P)^(K-R)
=S(K=R,W)[K*(K+1)*C(K-1,R-1)*P^R*(1-P)^(K-R)
-S(K=R,W)(K+2*K*R/P)*C(K-1,R-1)*P^R*(1-P)^(K-R)
+S(K=R,W)R*R/P/P*C(K-1,R-1)*P^R*(1-P)^(K-R)
=(推導過程同求E(X),略)
=R(R+1)/P/P-(2*R+P)*R/P/P+R*R/P/P
=(1-P)*R/P/P

