定義
組合數組合是數學的重要概念之一。從 n 個不同元素中每次取出 m 個不同元素 ,不管其順序合成一組,稱為從 n 個元素中不重複地選取 m 個元素的一個組合。所有這樣的組合的種數稱為組合數。
計算公式
線上性寫法中被寫作C(n,m)。
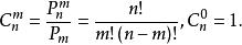
組合數的計算公式為
組合數
組合數
組合數
組合數n 元集合 A 中不重複地抽取 m 個元素作成的一個組合實質上是 A 的一個 m 元子集和。如果給集 A 編序 成為一個序集,那么 A 中抽取 m 個元素的一個組合對應於數段 到序集 A 的一個確定的嚴格保序映射。組合數 的常用符號還有
組合數性質
互補性質
1.互補性質
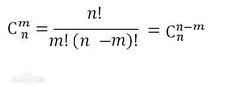
組合數即從 n個不同元素中取出 m個元素的組合數=從 n個不同元素中取出 ( n-m) 個元素的組合數;
這個性質很容易理解,例如C(9,2)=C(9,7),即從9個元素里選擇2個元素的方法與從9個元素里選擇7個元素的方法是相等的。
規定:C(n,0)=1 C(n,n)=1 C(0,0)=1
2.組合恆等式
若表示在 n 個物品中選取 m 個物品,則如存在下述公式:C(n,m)=C(n,n-m)=C(n-1,m-1)+C(n-1,m)。

