組合定義
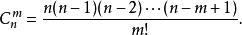
組合(combination),數學的重要概念之一。從n個不同元素中每次取出m個不同元素(0≤m≤n),不管其順序合成一組,稱為從n個元素中不重複地選取m個元素的一個組合。所有這樣的組合的總數稱為組合數,這個組合數的計算公式為
組合[數學名詞] 或者
組合[數學名詞]
組合[數學名詞]
組合[數學名詞]
組合[數學名詞] n元集合A中不重複地抽取m個元素作成的一個組合實質上是A的一個m元子集合。如果給集A編序成為一個序集,那么A中抽取m個元素的一個組合對應於數段到序集A的一個確定的嚴格保序映射,組合數的常用符號還有
組合[數學名詞] 組合總數
組合[數學名詞] 組合總數(total number of combinations)是一個正整數,指從n個不同元素里每次取出0個,1個,2個,…,n個不同元素的所有組合數的總和,即
組合[數學名詞]
組合[數學名詞] n元集合的組合總數是它的子集的個數。從n個不同元素中每次取出m個不同元素而形成的組合數的性質是:
組合[數學名詞] 1、
組合[數學名詞] 2、
利用這兩個性質,可化簡組合數的計算及證明與組合數有關的問題。
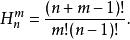
重複組合
組合[數學名詞]
組合[數學名詞] 重複組合(combination with repetiton)是一種特殊的組合。從n個不同元素中可重複地選取m個元素。不管其順序合成一組,稱為從n個元素中取m個元素的可重複組合。若且唯若所取的元素相同,且同一元素所取的次數相同,則兩個重複組合相同。從n個不同元素中可重複地選出m個元素的不同組合種數記為或,且
組合[數學名詞] ![組合[數學名詞] 組合[數學名詞]](/img/4/6fa/nBnauM3XwUzM1kzN5ADN5IDN0UTMyITNykTO0EDMwAjMwUzLwQzLxQzLt92YucmbvRWdo5Cd0FmLwE2LvoDc0RHa.jpg)
