概念
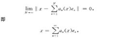
紹德爾基是有限維空間中基概念的一種推廣。設X為巴拿赫空間,{e}是X中的點列,如果對任何x∈X,總存在惟一的數列{a(x)}使得:
紹德爾基則稱{e}為X中的紹德爾基或可數基,並稱X為具有可數基的巴拿赫空間。具有可數基的巴拿赫空間是可分的。序列空間l(1≤p<+∞),c,c以及函式空間C[0,1],L [a,b](1≤p<+∞)等都是有可數基的巴拿赫空間。
紹德爾基是紹德爾(Schauder,J.P.)於1927年提出的,它是有限維空間中基的概念的一種推廣.1973年,恩夫洛(Enflo,P.)舉例說明即使巴拿赫空間是可分的也未必存在紹德爾基。關於基的理論的研究已有很豐富的內容。
基
線上性代數中,基(也稱為基底)是描述、刻畫向量空間的基本工具。向量空間的基是它的一個特殊的子集,基的元素稱為基向量。向量空間中任意一個元素,都可以唯一地表示成基向量的線性組合。如果基中元素個數有限,就稱向量空間為有限維向量空間,將元素的個數稱作向量空間的維數。
對向量空間的定義
向量空間V的一組向量若滿足:1)線性無關;2)V中任一向量可由此向量線性表出,則稱該組向量V中的一個基(亦稱基底)。
一個向量空間的基有很多,但每個基所含向量個數卻是個定數。
定理
紹德爾基
紹德爾基設和均為向量空間W的基的向量。那么必有s=t。
證明
紹德爾基
紹德爾基
紹德爾基
紹德爾基由基的定義,W的向量:,均可由:線性表出,而同理也可由,因此兩個線性無關向量組等價,兩組線性無關的向量如果等價則所含向量個數相等。因此s=t。
巴拿赫空間
完備的賦范線性空間被稱為巴拿赫空間,是泛函分析研究的基本內容之一。
20世紀以來,當人們研究了許多具體的無限維空間及其上面相應的收斂性以後,自然而然地轉向抽象形態的線性空間以及按範數收斂的概念。德國數學家希爾伯特、法國數學家弗雷歇和匈牙利數學家裡斯在1904—1918年間所引入的函式空間是建立巴拿赫空間理論的基礎。在這些空間裡,強收斂、弱收斂、緊性、線性泛函、線性運算元等基本概念已經得到初步研究。
1922—1923年,波蘭數學家巴拿赫、奧地利數學家哈恩和美國數學家N.維納等分別獨立地引入了賦范線性空間的概念,並以巴拿赫的姓氏來命名。1922年,巴拿赫開始根據他所引入的公理來系統研究已有的函式空間,得到深刻的結果;同一年,哈恩從當時分析數學的許多成果中提煉出共鳴定理;1922—1923年巴拿赫得到壓縮映射的不動點定理、開映射定理。1927年和1929年哈恩和巴拿赫先後證明了完備賦范空間上泛函延拓定理,引入了賦范線性空間的對偶空間(當時稱之為極空間),這個定理的推廣形式後來在局部凸拓撲線性空間理論中起了重要作用。1931年,巴拿赫寫成《線性運算元理論》。至此,完備賦范線性空間理論的獨立體系已基本形成,並且在不到十年的時間內便發展成本身相當完整而又有多方面套用的理論。
實例
序列空間
序列空間是一類特殊的拓撲空間。設X為拓撲空間,若對於任意FX,當序列{x}F收斂於x時,就有x∈F,則F為X中的閉集,此時稱X為序列空間。序列空間的商空間是序列空間。度量空間的商空間也是序列空間。
函式空間
函式空間是具有某種共同特徵的函式組成的函式類。當這種特徵是積分形式時,它就與勒貝格積分理論關係密切.在這些函式類中,又常定義了某些運算,並按照這些運算形成的結構構成泛函分析的各種抽象空間的具體實例。從而習慣上常稱它們為函式空間.常見的函式空間有L空間,l空間(0<p≤+∞),C空間(n=0,1,2,…,)等.在不同學科中,還常用到許多特殊的函式空間.在近代,分析學早已從研究個別的函式,轉向研究這些函式空間的整體性質。
人物簡介——紹德爾
波蘭數學家。生於利沃夫。就學於利沃夫的卡齊米日大學。1923年在斯坦因豪斯的指導下取得博士學位。之後留在該校工作。第二次世界大戰期間遭受納粹的迫害,1943年去世。紹德爾曾與巴拿赫一起從事研究工作,他的數學研究受到法國數學家阿達馬和原蘇聯數學家伯恩斯坦的影響。在泛函分析、拓撲學、積分論、橢圓及雙曲型偏微分方程等方面都做了大量工作。紹德爾把布勞威爾關於歐氏空間中凸緊集到自身的連續映射的不動點定理推廣到線性賦范空間中的凸緊集、巴拿赫空間中的凸緊集、局部凸的線性拓撲空間中的凸緊集到自身的連續映射上。他的這些結果有著廣泛的套用。1934年,他和法國數學家勒雷合作,套用不動點定理證明了微分方程解的存在性定理。他在拓撲學中也得到了一些十分著名的結果。現代數學文獻中多處出現紹德爾的名字:與雙曲型方程相關的紹德爾能量不等式、緊運算元理論中的里斯—紹德爾定理、關於微分運算元內正則性的紹德爾估算等。
