簡介
索末菲橢圓軌道理論
玻爾原來的理論僅考慮氫原子中電子繞核作圓軌道運動,索末菲推廣考慮了橢圓軌道。平面橢圓軌道有兩個自由度,需要兩個量子化條件,空間橢圓軌道則需要3個量子化條件 。 索末菲採用推廣了的玻爾量子化條件 ,得出氫原子系統的能量是量子化的 , 仍由主量子數n確定 ,與玻爾理論結果相同,而氫原子的角動量由角量子數確定 ,相同主量子數不同橢圓軌道上的角動量不同,且是量子化的,橢圓形狀也是量子化的;在三維情形下,橢圓軌道以及角動量的空間取向也是量子化的。索末菲還進而考慮電子在橢圓軌道上運動速度變化引起的相對效應,得出氫原子能級的精細結構,與實驗結果相符。
索末菲理論屬於前期量子論,其中仍保留了電子運動軌道的概念,不同於後來發展起來的量子力學概念,而且某些結果的細節也與實際不符。
計算方法
(圖1)A.索末菲在玻爾氫原子理論的圓軌道基礎上發展了橢圓軌道理論,認為電子在核的庫侖場中運動,其軌道一般應為橢圓。索末菲假定在極坐標系中電子的允許軌道必須滿足兩個量子條件(圖1) ,
(圖2)式中 n 嗞和 n r都是正整數,分別稱為角量子數和徑量子數。核庫侖吸引力是一種有心力,故電子的角動量 p 嗞在周期運動中為恆量(圖2)。
(圖3)利用這一關係,再用經典力學中粒子作橢圓軌道運動時總能量關係,算得氫原子中電子在橢圓軌道上的總能量為(圖3),式中 me是電子的質量, Z是原子核電荷數, e是電子的電荷量, ε0是真空介電常數, h是普朗克常數。如果令 n
(圖4)
(圖5)
(圖6)
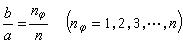
(圖7)= n r+ n 嗞,則電子在橢圓軌道上的能量與相應的玻爾軌道上的能量相同。整數 n稱為主量子數。並且算得橢圓軌道的半長軸 a為(圖4)。半長軸 a和半短軸 b的關係為(圖5)。 對每一個半長軸,都有 n個不同半短軸的軌道,按克卜勒定律,作橢圓軌道運動粒子的能量只和長軸有關,故這些軌道上的電子具有相同的能量(圖6), En只與 n有關,與 n 嗞無關。
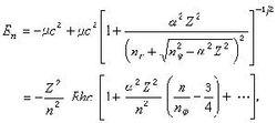
(圖8)考慮到電子質量的相對論效應,在偏心率不同的軌道上的影響是不同的,索末菲詳細推導了相對論效應中電子能量,得到(圖7),式中 μ為電子與核的靜折合質量, R為該原子的里德伯常數,с為真空中光速(圖8),
稱為精細結構常數。可見,相對論效應使得主量子數 n相同,但角量
(圖10)
(圖9)子數 n 嗞不同的橢圓軌道具有不同的能量,即同一個 n值所標示的能級將分裂為 n個相近的能級。據此也能解釋光譜的精細結構。1926年L.H.托馬斯首先根據G.E.烏倫貝克電子自旋的假設,考慮到自旋軌道相互作用和相對論坐標變換效應,成功地解釋了氫原子光譜精細結構譜線分裂。1927年P.A.M.狄喇克的相對論量子力學理論直接得到了相似的結果(圖9)(圖10),式中 j取值和(l-1/2),稱總角動量量子數。狄喇克理論不僅能較好地定量解釋氫原子光譜的精細結構,而且可直接導出電子的自旋磁矩。

