基本介紹
在重複試驗的回歸模型中,設自變數的取值水平共C個,共試驗n次,其中每個水平F重複獨立試驗n次(∑n=n)。設因變數在第i水平下的第j次觀察值為Y,i=1,…,C,j=1,…,n,令
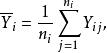
純均方誤差表示第i水平下因變數的平均數,則
純均方誤差
純均方誤差稱為 純誤差平方和,其自由度為,SSPE是模型失擬的檢驗中所使用的量。將誤差平方和除以自由度即為 純均方誤差,通常用 MSPE表示,即
純均方誤差定理
純均方誤差
純均方誤差
純均方誤差
純均方誤差
純均方誤差
純均方誤差
純均方誤差
純均方誤差
純均方誤差
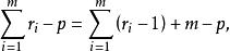
純均方誤差設有m個試驗點,在每一個處有次重複,其試驗結果為,令,則MS是的一個無偏估計。當相互獨立時,。且的分布不依賴於的選擇 。
證明 從略。
純均方誤差
純均方誤差
純均方誤差
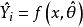
純均方誤差令表示模型在點外的擬合值(),則在點外的殘差為
純均方誤差從而有
純均方誤差即
純均方誤差其中SS為殘差平方和,SS為純誤差平方和,SS為擬合誤差平方和。並且對應於(1)有如下的自由度分解:
純均方誤差其中p為模型未知參數的個數。顯然,m≥p。如果m=p,則模型無擬合誤差,即數據完全擬合模型。從(1)可知,模型的殘差平方和由兩部分構成。一部分是 純誤差平方和,另一部分是擬合不佳所引起的 誤差平方和。
純均方誤差
純均方誤差
純均方誤差令,則,這裡。由此,可以用於檢驗模型擬合的好壞 。
相關知識
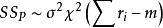
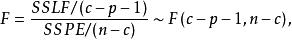
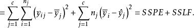
失擬檢驗是一種用來判斷回歸模型是否可以接受的檢驗。判斷模型好壞主要通過殘差分析,而殘差是由兩部分組成的;一部分是隨機的,即使模型擬合得再好,它也消除不了,稱為隨機誤差或純誤差;另一部分與模型有關,模型合適,這部分的值就小,模型不合適,這部分的值就大,稱為失擬誤差。失擬檢驗就是以失擬誤差對純誤差的相對大小來作判斷的: 倘失擬誤差顯著地大於純誤差,那么就放棄模型;如並不顯著地大於純誤差,那么就可以接受該模型。失擬檢驗的前提是要求在自變數x的若干值處進行重複試驗,設在x處有n次重複試驗 (j=1,2,…,c),記
純均方誤差則有
純均方誤差
純均方誤差其中: SSE—殘差平方和,SSPE—純誤差平方和,SSLF—失擬的平方和(擬合誤差平方和)。SSE,SSPE,SSLF的自由度分別為n-p-1,n-c,c-p-1。在獨立、正態及等方差假定之下
純均方誤差對於給定置信度水平 (1-α),如果F<F(c-p-1,n-c)就認為失擬是不顯著的,就接受該模型;如果F>F(c-p-1,n-c),則認為失擬不顯著,因而模型可以拒絕。儘管失擬檢驗原則上能夠檢驗任何種類的回歸模型,但通常用它來檢驗模型的線性假設是否合理 。

