約數個數定理
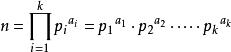
約數個數定理對於一個大於1正整數n可以分解質因數:
約數個數定理則n的正約數的個數就是。
其中a、a、a…a是p、p、p…p的指數。
定理簡證
首先同上,n可以分解質因數:n=p1^a1×p2^a2×p3^a3*…*pk^ak,
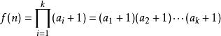
由約數定義可知p1^a1的約數有:p1^0, p1^1, p1^2......p1^a1 ,共(a1+1)個;同理p2^a2的約數有(a2+1)個......pk^ak的約數有(ak+1)個。
故根據乘法原理:n的約數的個數就是(a1+1)(a2+1)(a3+1)…(ak+1)。
例題
例題:正整數378000共有多少個正約數?
解:將378000分解質因數378000=2^4×3^3×5^3×7^1
由約數個數定理可知378000共有正約數(4+1)×(3+1)×(3+1)×(1+1)=160個。
