粉末軋製成形

粉末軋製成形

粉末軋製成形(metal g)將金屬粉末通過兩個旋轉軋輥之間連續軋製成多孔或緻密板帶材的粉末成形方法(圖示為垂直粉末軋制示意圖)。 此角a,即粉末與輥面接觸弧所對應的軋輥中心角,稱為咬入角,它的大小主要取決於粉末性質和輥面狀態。

粉末軋制成形(metal powder rolling)將金屬粉末通過兩個旋轉軋輥之間連續軋製成多孔或緻密板帶材的粉末成形方法(圖示為垂直粉末軋制示意圖)。粉末與輥面接觸後,只有當軋輥轉動到(由兩個軋輥中心線起)一定角度時,粉末才能被軋輥咬入而帶入變形區內。此角a,即粉末與輥面接觸弧所對應的軋輥中心角,稱為咬入角,它的大小主要取決於粉末性質和輥面狀態。
帶材性能影響因素影響粉末帶材性能的主要因
素有:
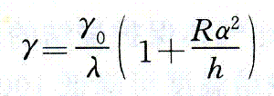
(1)粉末性質。包括粉末松裝密度粉末流動性粉末壓縮性粉末成形性等;(2)軋制工藝參數。如輥徑、輥縫、軋制速度、輥面狀態、供料方式等。根據軋制前後粉末重量相等原理,可得出多孔帶材密度和厚度與粉末松裝密度和其他一些因素之間的關係:
式中r為多孔帶材密度,g/cm;矗為多孔帶材厚度,cm;r0為粉末松裝密度,g/cm;R為工作輥半徑,cm;a為咬入角(。);A為伸長率,%。
軋制形式按帶材出輥方向,粉末軋制可分為垂直軋制、水平軋制和傾斜軋制3種形式:其中垂直軋制套用較為普遍,且有一定的代表性。粉末軋機有兩輥的和四輥的。兩輥軋機的最大輥徑為900mm,軋制帶材最大厚度為10‘mm;四輥軋機的最小工作輥徑為lOmm,可軋制出厚度為0.1mm左右的多孔薄帶材。粉末軋制可在常溫(冷軋)和加熱(熱軋)兩種狀態下進行。前一種的主要工序包括軋制和生帶材燒結,但在製取緻密材料時,還須增加必要的精軋和退火。熱軋是將金屬粉末或多孔坯料在加熱狀態下進行軋制,
它比較適合於製取緻密材料。’筒史金屬粉末軋制技術源於19世紀中葉,但在20世紀40~50年代才開始有較快的發展,在粉末軋制理論、工藝、設備和材料套用等方面取得了豐碩的成果。中國從60年代初開始研究和採用這項粉末成形技術,並取得了明顯的成績。採用粉末軋制工藝技術,可由多種金屬(不鏽鋼等)粉末或其他合金粉末軋製成多孔的或緻密的板材、帶材、箔材、線材和管材,以及金屬與金屬或金屬與非金屬的組合材料。這些材料作為過濾和分離元件、消音、阻焰、電工和磁性材料以及耐磨和摩擦材料等,廣泛用於化工、電子、石油、機械、汽車、儀表、原子能和航天等工業部門。

相關詞條

熱門詞條

聯絡我們