計算
從理論上講,固體廢物中凡是粒度小於篩孔尺寸的細粒都應該透過篩孔成為篩下產品,而大於篩孔尺寸的粗粒應全部留在篩上排出成為篩上產品。但是,實際上由於篩分過程中受各種因素的影響,總會有一些小於篩孔的細粒留在篩上隨粗粒一起排出成為篩上產品,篩上產品中未透過篩孔的細粒越多,說明篩分效果越差。為了評定篩分設備的分離效率,引入篩分效率這一指標。
篩分效率是指實際得到的篩下產品質量與入篩廢物中所含小於篩孔尺寸的細粒物料質量之比,用百分數表示,即
篩分效率式中,E為篩分效率 (%);Q為入篩固體廢物質量;Q為篩下產品質量;α為入篩固體廢物中小於篩孔的細粒含量 (%)。
篩分效率但是,在實際篩分過程中要測定Q和Q是比較困難的,因此,必須變換成便於套用的計算式。按右圖測定出篩下產品中小於篩孔尺寸的粗粒,可以列出以下兩個方程式。
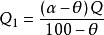
1、固體廢物入篩質量(Q)等於篩上產品質量(Q)和篩下產品質量(Q)之和,即:Q=Q十Q ①
2、固體廢物中小於篩孔尺寸的細粒質量等於篩上產品與篩下產品中所含有小於篩孔尺寸的細粒質量之和,即Qα=100Q十Qθ ②
式中,θ為篩上產品中有含有小於篩孔尺寸的細粒質量百分數 (%)。
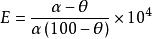
篩分效率將式①代入式②得 ③
篩分效率將Q 值代入式③得④
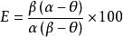
篩分效率式④是在篩下產品100%都是小於篩孔尺寸 (β=100%)的前提下推導出來的。實際生產中由於篩網磨損而常有部分大於篩孔尺寸的粗粒進入篩下產品。如果考慮到這種情況,式①的篩下產品項不是100Q,而是Qβ,按此推導出另一種篩分效率計算公式,即:,當篩網磨損嚴重時,採用此式來計算篩分效率。
影響因素
固體廢物性質
固體廢物的粒度組成對篩分效率影響較大。廢物中易篩粒含量越多,篩分效率越高;而粒度接近篩孔尺寸的難篩粒越多,篩分效率則越低。
固體廢物的含水率和含泥量對篩分效率也有一定的影響。廢物外表水分會使細粒結團或附著在粗粒上而不易透篩。當篩孔較大、廢物含水率較高時,反而造成顆粒活動性的提高,此時水分有促進細粒透篩作用,但此時已屬於濕式篩分法,即濕式篩分法的篩分效率較高。水分影響還與含泥量有關,當廢物中含泥量高時,稍有水分也能引起細粒結團。
另外,廢物顆粒形狀對篩分效率也有影響,一般球形、立方形、多邊形顆粒相對而言,篩分效率較高;而顆粒呈扁平狀或長方塊,用方形或圓形篩孔的篩子篩分,其篩分效率越低。
篩分設備性能
常見的篩面有棒條篩面、鋼板沖孔篩面及鋼絲編織篩網三種。其中棒條篩面有效面積小,篩分效率低;鋼絲編織篩網則相反,有效面積大,篩分效率高;鋼板沖孔篩面介於兩者之間。篩子運動方式對篩分效率有較大的影響,同一種固體廢物採用不同類型的篩子進行篩分時,其篩分效率大致如下表所示:
不同類型篩子的篩分效率
| 篩子類型 | 固定篩 | 轉筒篩 | 搖動篩 | 振動篩 |
| 篩分效率/% | 50~60 | 60 | 70~80 | 90以上 |
即使是同一類型的篩子,如振動篩,它的篩分效率也受運動強度的影響而有差別。如果篩子運動強度不足時,篩面上物料不易鬆散和分層,細粒不易透篩,篩分效率就不高;但運動強度過大又使廢物很快通過篩面排出,篩分效率也不高。篩面寬度主要影響篩子的處理能力,其長度則影響篩分效率。負荷相等時,過窄的篩面使廢物層增厚而不利於細粒接近篩面;過寬的篩面則又使廢物篩分時間太短,一般寬長比為1:(2.5~3)。
篩面傾角是為了便於篩上產品的排出,傾角過小起不到此作用;傾角過大時,廢物過篩速度過快,篩分時間短,篩分效率低。一般篩分傾角以15°~25°較適宜。
篩分操作條件
在篩分操作中應注意連續均勻給料,使廢物沿整個篩面寬度鋪成一薄層,既充分利用篩面,又便於細粒透篩,可以提高篩子的處理能力和篩分效率。及時清理和維修篩面也是保證篩分效率的重要條件。

