簡介
薄膜干涉分為兩種一種叫等傾干涉,另一種稱做等厚干涉。等厚干涉是由平行光入射到厚度變化均勻、折射率均勻的薄膜上、下表面而形成的干涉條紋.薄膜厚度相同的地方形成同條幹涉條紋,故稱等厚干涉.(牛頓環和楔形平板干涉都屬等厚干涉.)
實驗
原理
1、當一個曲率半徑很大的平凸透鏡的凸面放在一片平玻璃上時,兩者之間就形成類似劈尖的劈形空氣薄層,當一束平行光ab入射到厚度不均勻的透明介質薄膜上,在薄膜的表面上會產生干涉現象。從上表面反射的光線b1和從下表面反射 並透射出上表面的光線a1在B點相遇,由於a1、b1有恆定的光程差,因而將在B點產生干涉。若平行光束ab垂直入射到薄膜面,即i = r = 0,薄膜厚度為d,則a1、b1的光程差為:δ= 2nd+λ/2,式中λ/2一項是由於光線從光疏介質到光密介質而產生的半波損失。
2、利用牛頓環測一個球面鏡的曲率半徑設單色平行光的波長為γ,第k級暗條紋對應的薄膜厚度為dk,考慮到下界面反射時有半波損失γ/2,當光線垂直入射時總光程差由
薄膜干涉公式求得:
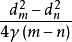
等厚干涉R=
式中dm、dn實質上是m級與n級牛頓環的弦長 。
注意事項
1.鈉光燈預熱。
2.調整儀器
(1)由待測透鏡的凸面及平玻璃的平面組成牛頓環裝置,令其處於自由狀態。
(2)調整45度反射平面玻璃及顯微鏡的位置,使入射光近乎垂直入射,並使鈉光能充滿整個視場。
(3)調節目鏡,看清叉絲;顯微鏡調焦看清干涉條紋(調整時應注意什麼?)使叉絲交點大致在牛頓環的中心位置。
3.定量測量
套用
等厚干涉牛頓環當用平行單色光垂直照射到牛頓環儀上時,一部分光線在空氣層的下表面反射,一部分光線在空氣層的上表面反射,這兩部分光有光程差,它們在平凸透鏡的凸面附近相遇而發生干涉。當我們用顯微鏡從反射面來觀察時,便可清楚地看到中心是一暗圓斑,而周圍是許多明暗相間、間隔逐漸減小的同心環;當我們從透射面觀察時,干涉環紋與反射光的干涉環紋的光強恰好互補,中心是亮斑,原來的亮環變暗環,暗環變亮環,這種干涉最早為牛頓所發現,故稱為牛頓環。牛頓環是等厚干涉的例子之一。

