簡介
等光程點又名齊明點或不暈點,此物點發出的寬闊同心光束能成清晰象,且無球差和慧差。
橢球面鏡和雙曲面鏡的齊明點為一對焦點。單折射球面的齊明點其物點和象點離球面頂點的距離s和s'分別滿足下列關係式:
等光程點
等光程點其中n和n'分別為入射線和出射線所在空間的折射率,r為折射球面的半徑。單折射球面和反射球面的球心或頂點也是齊明點。齊明點在顯微鏡的物鏡中有重要的作用,利用油浸物鏡使物空間和物透鏡有相同的折射率,就可將觀察物置於齊明點,成象既無球差,也無慧差 。
透鏡與等光程點
以兩個折射曲面為邊界的透明體稱為透鏡,通常多以光學玻璃為原材料,磨製成形後將折射面拋光而成。兩個折射面中可以有一個平面,但兩個折射面都是平面者不能稱為透鏡。透鏡由於兩個表面的折射,具有對光束的會聚或發散作用,能在任何要求位置形成物體的像。因此是光學成像系統和照明系統中不可缺少的光學零件。單獨一片透鏡往往不能滿足校正像差的要求;在光學儀器設計過程中經常用幾片透鏡構成組合體,從校正像差的需要出發,確定各透鏡的結構參量,使整個組合體既滿足成像和使用要求,又達到指定的相對孔徑、視場角等光學性能。
與理想成像系統不同的是,實際光學系統只有在近軸區才具有與理想光學系統相同的性質,及只有在孔徑和視場非常小的情況下才能成完善像。實際系統的孔徑和視場都有一定的大小,並且光學系統的功能和使用價值恰恰又與相對孔徑和視場這兩個因素密切相關,因此,實際系統不可能對物體成完善像。
在幾何像差中,如果只討論單色光成像,光學系統會產生5種性質不同的像差,它們分別是球差、慧差、像散、場曲和畸變,統稱為單色像差。在共軸球面系統中,軸上點和軸外點有不同的像差,軸上點因處於軸對稱位置,具有最簡單的像差形式。當軸上物點的物距L確定,並以寬光束孔徑成像時,其像方截距隨孔徑角U(或孔徑高度h)的變化而變化,因此軸上物點發出的具有一定孔徑的同心光束,經光學系統成像後不復為同心光束,
但是,在透鏡的某些特殊點出可以消除像差和彗差。物體在折射面球心時,不產生球差和彗差。物體在不暈點時,不產生球差,彗差,像散,不產生三種像差時稱為“等光程”、“不暈”或“齊明”。如果軸上一對共軛點消球差,且滿足即阿貝正弦條件,則在該軸上物點垂軸方向上的近軸物點也完善成像 (即既無球差,又無彗差)。這樣的共軛點稱為等光程點、齊明點或不暈點 。
等光程點的套用
高倍顯微鏡的物鏡口徑如果較大,入射光入射角較大,不滿足傍軸條件,成像精度較差;如果口徑較小,光通量較小,成像亮度較弱。利用球面透鏡的齊明點可以緩解這對矛盾 。
油浸物鏡
圖1實際使用時不能將樣品放入玻璃內的齊明點處。一般將折射率 與玻璃相同的油滴滴在樣品上,再將半球形透鏡浸入油滴中,調節透鏡與樣品的距離,即可使樣品位於透鏡的齊明點處。 如圖1,若球面半徑為R,透鏡及油滴的折射率為n,則油浸物鏡正常工作時油層的厚度應為
等光程點彎月形齊明透鏡
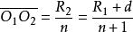
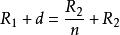
圖2與油浸物鏡相比,彎月形齊明透鏡使用更方便。如圖4,樣品處於彎月形齊明透鏡內表面S1的球心O1處,若該點同時也是外表面S2的一個齊明點,則經過樣品的光線在內表面S1處不發生偏折,經過外表面S2後依然精確地成像於一點。若內外表面的半徑分別為R1、R2,透鏡中心厚度為d,由物點到外表面S2中心的距離
等光程點得外表面S2的半徑為
等光程點兩球心O1與O2間的距離為
等光程點齊明透鏡組
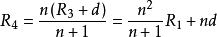
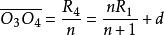
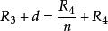
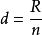
圖3若上一級透鏡的像點恰好處於下一級透鏡的物點處,即可形成齊明透鏡組。利用齊明透鏡組可以使光束的發散角進一步減小以達到傍軸條件,保證後續成像過程的精度和亮度。 在圖2所示的透鏡後,若要緊挨著放置下一級中心厚度也為d的彎月形齊明透鏡,如圖3,則下一級透鏡內表面半徑
等光程點外表面半徑R4,由
等光程點解得
等光程點球心O3與O4間的距離為
等光程點值得注意的是,不是齊明透鏡組中透鏡的個數越多越好。利用多個齊明透鏡組,雖不產生像差和慧差,但由於色散現象明顯,會產生較大的色差,所以實際使用的齊明透鏡往往不多於兩個。

