藥品信息
基本信息
【漢語拼音】Alunlinsuanna Pian
【包裝】鋁塑板,每盒1片。
【貯藏】15-30°C保存。
【有效期】24個月
【執行標準】JX20020177
【批准文號】進口藥品註冊證號H20130241
【成份】
主要成份為阿侖膦酸鈉
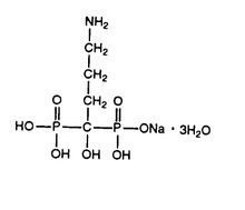
化學名稱:(4-氨基-1-羥基亞丁 基)二膦酸單鈉鹽三水合物。
結構式:
福善美分子式:CHNNaOP·3HO
分子量:325.12
【性狀】本品為白色片。
適應症
適用於治療絕經後婦女的骨質疏鬆症,以預防髖部和脊柱骨折(椎骨壓縮性骨折)。
適用於治療男性骨質疏鬆以增加骨量。
用法用量
該品只能在每周固定的一天晨起時使用。為儘快將藥物送至胃部,降低對食道的刺激,該品應在清晨用一滿杯白水送服,並且在服藥後至少30分鐘之內和當天第一次進食前,病人應避免躺臥。該品不應在就寢時及清早起床前服用。否則會增加發生食道不良反應的危險(見[注意事項])。
如食物中攝入不足,所有骨質疏鬆患者都應補充鈣和維生素D(見[注意事項])。
老年患者或伴有輕至中度腎功能不全的患者(肌酐清除率35-60ml/min)不需要調整劑量。因缺乏相關用藥經驗,對於更嚴重的腎功能不全患者(肌酐清除率<35ml/min),不推薦使用該品。
絕經後婦女骨質疏鬆症的治療推薦劑量為:
每周1次,1次1片70mg
治療男性骨質疏鬆症以增加骨量:
每周1次,1次1片70mg。
不良反應
臨床研究
在臨床研究中,該品一般耐受性良好。在一些長達5年的研究中,不良反應通常是輕微的,一般不需要停止治療。
治療絕經後婦女骨質疏鬆症
兩項(美國和多國)大型、實際上設計完全相同的為期三年、安慰劑對照、雙盲、多中心研究中,每天套用該品10mg,結果顯示其總的安全性情況與安慰劑組相似。研究者所報告的在≥1%的每天接受該品10mg每天的病人中,所發生的可能、很可能或一定和藥物相關且發生率高於安慰劑組的上消化道不良事件包括:腹痛(該品6.6%,安慰劑4.8%)、消化不良(3.6%,3.5%)、食管潰瘍(1.5%,0.0%)、吞咽困難(1.0%,0.0%)和腹脹(1.0%,0.8%)。
皮疹和紅斑很少發生。
另外,研究者所報告的在≥1%的接受該品10mg每天治療的病人中,發生的可能、很可能或一定與藥物相關的,而且發生率高於安慰劑組的不良事件有:肌肉骨骼疼痛(該品4.1%,安慰劑2.5%)、便秘(3.1%,1.8%)、腹瀉(3.1%,1.8%)、脹氣(2.6%,0.5%)和頭痛(2.6%,1.5%)。
在以上研究的2年延長期(治療4和5年)中,該品10mg/天的總體安全性狀況與有安慰劑對照的3年期間所觀察到的相似。另外,由於任何臨床不良反應而停用該品每天10mg的患者比例也與該研究的前3年相似。
| | 一年臨床 | 三年臨床 | ||
| | 阿侖膦酸鈉 每周70mg組 (n=519) % | 阿侖膦酸鈉 每天10mg組 (n=370) % | 阿侖膦酸鈉 每天10mg組 (n=196) % | 安慰劑組 (n=397) % |
| 胃腸 | ||||
| 腹痛 | 3.7 | 3.0 | 6.6 | 4.8 |
| 消化不良 | 2.7 | 2.2 | 3.6 | 3.5 |
| 返酸 | 1.9 | 2.4 | 2.0 | 4.3 |
| 噁心 | 1.9 | 2.4 | 3.6 | 4.0 |
| 腹脹 | 1.0 | 1.4 | 1.0 | 0.8 |
| 便秘 | 0.8 | 1.6 | 3.1 | 1.8 |
| 腹瀉 | 0.6 | 0.5 | 3.1 | 1.8 |
| 吞咽困難 | 0.4 | 0.5 | 1.0 | 0.0 |
| 腸脹氣 | 0.4 | 1.6 | 2.6 | 0.5 |
| 胃炎 | 0.2 | 1.1 | 0.5 | 1.3 |
| 胃潰瘍 | 0.0 | 1.1 | 0.0 | 0.0 |
| 食管潰瘍 | 0.0 | 0.0 | 1.5 | 0.0 |
| 肌肉骨骼 | ||||
| 肌肉骨骼(骨、肌 肉或關節)痛 | 2.9 | 3.2 | 4.1 | 2.5 |
| 肌肉痙攣 | 0.2 | 1.1 | 0.0 | 1.0 |
| 神經系統 | ||||
| 頭痛 | 0.4 | 0.3 | 2.6 | 1.5 |
治療男性骨質疏鬆症
在一項為期兩年的雙盲、安慰劑對照、多中心的臨床研究中,146名每日服用該品10mg 的男性患者的安全性資料與絕經後婦女的一致。
其它研究
一項十周的內窺鏡研究(包括男女性共277人,平均年齡55)發現,該品每周一次70mg的治療組與安慰劑組在引起上消化道病變方面沒有差別。
另一項為期一年的研究(包括男女性共335人,平均年齡50歲)發現,該品每周一次70mg的治療組與安慰劑組在總的安全性與耐受性方面相似,並且,男女之間沒有差別。
產品上市後經驗
藥品上市套用後已報告的不良反應如下:
全身反應:過敏反應,包括蕁麻疹和罕見的血管性水腫。同其他二膦酸鹽一樣,在開始服用該品時,會發生一過性的急性期的反應(肌痛,不適和罕見發燒)。在存在誘因條件時,會發生罕見的低鈣血症。罕見的外周性水腫。
胃腸道反應:噁心、嘔吐、食管炎、食道糜爛、食管潰瘍、罕見食管狹窄或穿孔、口咽潰瘍;罕見胃和十二指腸潰瘍。某些較為嚴重並伴有併發症,儘管它們與藥物的因果關係尚未確定(見[注意事項]及[用法用量])。在拔牙和/或局部感染癒合延遲時,會發生罕見的局部下頜骨壞死(見[注意事項])。
肌肉骨骼:骨、關節、和./或肌肉疼痛,罕見嚴重和/或致殘的情況(見[注意事項]);關節腫脹。
皮膚:皮疹(偶伴對光過敏),搔癢。罕見的嚴重皮膚反應,包括Stevens-Johnson綜合徵和毒性表皮壞死鬆懈。
特殊感覺:罕見眼色素層炎,罕見鞏膜炎或鞏膜外表層炎。
實驗室結果
在雙盲、多中心、安慰劑對照的臨床研究中,該品組分別有18%和10%的病人發生無症狀性、輕微且短暫的血清鈣和血清磷的下降,安慰劑組中分別為12%和3%。但是血清鈣<8.0mg/ dL (2.0mmol/L)和血清磷≤2.0mgP/dL(0.65mmol/L)的發生率,兩組情況相似。
禁忌
●導致食管排空延遲的食管異常,例如狹窄或馳緩不能
●不能站立或坐直至少30分鐘者
●對本產品任何成份過敏者
●低鈣血症(見[注意事項])
注意事項
和其它二磷酸鹽一樣,該品可能對上消化道黏膜產生局部刺激。
在服用該品的病人中,已報告的食管不良事件有食管炎、食管潰瘍和食管糜爛,罕有食管狹窄或穿孔的報告。其中有些病例,因這些不良事件而需住院治療。因此,醫生應該警惕可能發生食管反應的任何症狀和體徵,應指導病人如果出現吞咽困難、吞咽痛、胸骨後疼痛或新發胃灼熱或胃灼熱加重,停用該品並就醫。
在服用該品後躺臥、和/或不用一滿杯水送服藥物、和/或出現提示食管刺激的症狀後仍繼續服藥的病人,發生嚴重食管不良反應的危險性較大。因此,提供病人詳盡的用藥指導,讓其充分理解是很重要的(見[用法用量])。
儘管在廣泛的臨床試驗中未觀察到胃和十二指腸潰瘍危險性的增加,上市後卻有極少量的報告,某些較為嚴重並伴有併發症。
因為該品對上消化道黏膜有刺激作用並有可能加重潛在的疾病,故應慎用於患有活動性上消化道疾病如吞咽困難、食管疾病、胃炎、十二指腸炎、潰瘍或最近有胃腸道病史,如消化道潰瘍或活動性胃腸道出血或消化道手術(除外幽門成形術)的病人。
為了便於將該品送至胃部從而降低對食管的刺激,應指導病人用一滿杯水吞服藥物,並且在至少30分鐘內及在當天第一次進食之前不要躺臥。病人不應該咀嚼或吮吸藥片,以防口咽部潰瘍。應該特別指導病人在就寢前或清早起床前不要服用該品。應該告訴病人,若不遵醫囑就可能增加出現食管問題的危險性。應該告訴病人,如果發生食管疾病的症狀(如吞咽困難或疼痛、胸骨後疼痛或新發胃灼熱或胃灼熱加重),應該停服該品並請醫生診斷治療。
應當告訴病人,如果漏服了一次每周劑量,應當在記起後的早晨服用一片。不可在同一天服用兩片,而應按其最初選擇的日期計畫,仍然每周服用一片。
肌酐清除率<35ml/min的病人,不推薦套用該品(見[用法用量])。
除雌激素缺乏和老齡之外,還應考慮其它造成骨質疏鬆的原因。
在開始套用該品治療之前,必須先糾正低鈣血症(見[禁忌])。其它影響礦物質代謝的異常(例如維生素D缺乏),也應該得到有效治療。由於阿侖膦酸鈉可增加骨密度,因此可出現輕度的、無症狀的血鈣和磷酸鹽下降,特別是使用糖皮質激素治療的患者,可能他們的鈣吸收減少。因此,使用糖皮質激素的患者保證攝入足夠的鈣和維生素D是很重要的。
孕婦及哺乳期婦女用藥
未在孕婦中做過研究,孕婦不宜使用。
未在哺乳婦女中做過研究,不套用於這類病人。
兒童用藥
該品不適用兒童。
老年用藥
在臨床研究中,未發現該品有年齡相關性的療效和安全性方面的差異,或遵醫囑。
藥物相互作用
如果同時服用鈣補充製劑、抗酸藥物和其它口服藥物可能會干擾該品吸收。因此,病人在服用該品以後,必須等待至少半小時後,才可服用其它藥物。
預計無其它具有臨床意義的藥物相互作用。
兩項為期一或兩年的臨床研究對絕經後骨質疏鬆婦女同時套用激素替代治療(雌激素±孕激素)(靜脈同時經皮給藥或口服給藥)和該品進行了評價。與單獨套用相比,聯合套用激素替代治療和該品能更多地增加骨量,更多地降低骨轉換。在這些研究中,聯合治療與單獨治療在安全性和可耐受性方面是一致的。
特異性相互作用研究尚未進行。在治療男性和絕經後婦女的骨質疏鬆症的研究中,該品已與各種常用處方藥同時使用,無明確的臨床不良相互作用。
藥物過量
尚沒有關於該品過量用藥的資料。口服藥物過量可能會導致低鈣血症、低磷血症和上消化道不良事件,如胃部不適、胃灼熱、食管炎、胃炎或潰瘍。應給予牛奶或抗酸劑以結合阿侖膦酸鈉。由於食管刺激的危險,不應該誘導嘔吐,病人應保持直立。
藥理毒理
作用機制
動物研究發現該品有下述作用方式。在細胞水平,阿侖膦酸鈉對骨吸收部位特別是破骨細胞作用的部位有親嗜性。正常情況下,破骨細胞粘附於骨表面但邊緣並不粗糙,而粗糙的邊緣則是骨吸收活躍的標誌。阿侖膦酸鈉不影響破骨細胞的聚集或粘附,但它確實能抑制破骨細胞的活性。小鼠體內進行的有關標記有放射活性的[3H]阿侖膦酸鈉在骨內作用部位的研究顯示,破骨細胞表面的攝入是成骨細胞表面的10倍。標記有放射活性的[3H]阿侖膦酸鈉分別給予大鼠6天和小鼠49天后,檢查其骨組織發現,正常骨形成於阿侖膦酸鈉表面,後者與基質結合後不再具有藥理活性,因此,阿侖膦酸鈉必須持續服用以抑制新形成的吸收表面的破骨細胞。狒狒和大鼠的組織形態測量學顯示,阿侖膦酸鈉能降低骨轉換(即骨重建部位的數量),而且,在這些重建部位,骨形成超過骨吸收,從而使骨量逐漸增加。
動物毒理
對雌性大鼠和小鼠來說,口服阿侖膦酸鈉的LD50值分別為552mg/ kg(3256mg/m2)和966mg/kg(2898mg/m2)(相當於人類口服劑量*27600和48300mg)。對雄性鼠,這些值要略高一些,分別為626mg/kg和1280mg/kg。而狗口服劑量達200mg/kg(4000mg/m2)仍未見致死作用(相當於人類口服劑量 *10000mg)。
*以患者的體重為50公斤計
慢性毒性
對大鼠和狗分別進行的長達一年和三年的重複劑量-毒性研究發現,阿侖膦酸鈉的相關變化有以下幾個方面:在內源性軟骨骨形成區保留了最初的松質骨;鹼性磷酸酶活性持續下降;血鈣和血磷的濃度一過性下降。這些都與阿侖膦酸鈉預期的藥理活性相關。對腎毒性最敏感的物種(如狗)出現腎毒性的劑量相當於人類至少套用100mg。大鼠需要更高的劑量才表現出這種腎毒性。胃腸毒性只出現在齧齒動物。這可能是由於對黏膜的直接作用,且僅發生在劑量超過2.5mg/kg/天時。
致癌作用
動物超劑量試驗未發現有致癌作用。
致突變作用
無論有無代謝活性,體外微生物致突變試驗未發現阿侖膦酸鈉有致突變作用。五項基因毒性研究中有四項都是純陰性結果,包括與人類致癌可能性最直接相關的研究(體內染色體畸變試驗和微生物致突變試驗),以及大鼠和小鼠體內的致癌研究陰性結果均表明阿侖膦酸鈉對人類沒有基因毒性或致癌的危險。
繁殖
口服給予大鼠阿侖膦酸鈉每天5mg/kg對兩性的生育和繁殖能力都沒有影響。這些研究中發現的唯一與藥物相關的影響是大鼠分娩困難。這與藥物介導的低鈣血症直接相關,這種影響可通過給大鼠補充鈣來預防。而且,每天1.25mg/kg的劑量沒有任何影響。
生長發育
有關生長發育的毒性研究中,給予大鼠阿侖膦酸鈉每天25mg/kg和給予兔子每天35mg/kg均未發現有不良影響。
藥代動力學
吸收
以靜脈劑量作參考,空腹及標準早餐前2小時給予阿侖膦酸鈉5-70mg,其平均口服生物利用度在女性為0.64%,在男性口服10mg為0.6%,兩者相似。如果在標準早餐前1或1.5小時給藥,其生物利用度在兩性有類似下降(約40%)。骨質疏鬆研究證明,在每天第一次進食或喝飲料前至少30分鐘給予該品才發揮作用。
如果在標準早餐後2h或2h以上給藥,其生物利用度可以忽略不計。阿侖膦酸鈉與咖啡或桔汁同服可使其生物利用度下降約60%。
對健康者來說,口服給予潑尼松(20mg每天三次,連用5天)對阿侖膦酸鈉的口服生物利用度的影響沒有臨床意義(平均增加20-44%)。
對於4-16歲的成骨不全(osteogensis imperfecta,OI)患兒,其口服生物利用度與成人類似(見【兒童用藥】)。
分布
研究表明,靜脈給予大鼠阿侖膦酸鈉1mg/kg後,其瞬間分布於軟組織,但接著迅速再分布於骨組織或通過尿排泄。其在人體內的平均穩態分布容積,除了骨組織外,至少為28L。口服給予治療劑量的阿侖膦酸鈉由於其在血漿內的濃度過低,難以進行檢驗分析(小於5ng/ml)。其血漿蛋白結合率約為78%。
代謝
還沒有證據表明阿侖膦酸鈉在動物或人體內代謝。
清除
一次性靜脈給予C14標記的阿侖膦酸鈉發現,約50%的放射活性在72小時內由尿排泄,糞便中沒有或只有很少量的放射性活性。一次性靜脈給予10mg阿侖膦酸鈉後測定其腎清除率為71ml/min,全身清除率不超過200ml/min。靜脈給藥後6小時內其血漿濃度下降95%以上。其在人體內的終末半衰期估計大於10年,這提示阿侖膦酸鈉從骨骼中釋放。
病人特徵
臨床前研究表明此藥不在骨內沉積而迅速由尿排泄。在動物身上長期累積靜脈給藥35mg/kg沒有發現骨吸收飽和的證據。儘管還沒有臨床資料,但腎功能受損時,和動物研究的結果一樣,阿侖膦酸鈉通過腎的清除很可能會下降。因此,當腎功能受損時,阿侖膦酸鈉在體內的蓄積可能會增加(見[用法用量])。
指南推薦
美國國家骨質疏鬆症基金會(NOF)發布的《骨質疏鬆症預防 與治療臨床指南》2013年版,
美國臨床內分泌醫師學會(AACE)制定的絕經後骨質疏鬆診治指南2010年版
《中國原發性骨質疏鬆症診療指南》2011年版推薦
臨床研究
治療絕經後婦女的骨質疏鬆症
對骨密度的影響
四項為期2年或3年的雙盲、安慰劑對照的臨床研究證明了每日服用本品10mg對絕經後婦女骨質疏鬆症的療效。其中包括兩項設計完全相同的多中心的、為期3年的研究;一項在美國進行,另一項在 15個國家進行,分別入選了478和516名患者。下圖顯示了3年時每日用本品10mg的患者相對於安慰劑治療患者的腰椎、股骨頸和轉子的骨密度平均增加百分數。
| 絕經後婦女骨質疏鬆治療研究 每日服用本品10mg三年時骨密度增加 |
福善美在聯合研究中,3年後用安慰劑治療的患者的腰椎、股骨頸和轉子的骨密度顯著降低了0.65%至1.16%。而每個研究中每日服用本品10mg的患者各測定部位的骨密度均有相對於基線和安慰劑患者的極顯著增加,同時,在兩個研究中他們全身的骨密度也都有明顯增加,這表明脊柱和髖部的骨質增加並非是以其他部位的骨質損失為代價的。骨密度的增加在3個月時已經很明顯,並在整個3年期間持續增加而沒有明顯的平台期(見下圖腰椎的結果)。在以上研究的兩年延長期中,本品10mg/天治療使腰椎及轉子的骨密度持續增長(3-5年間的絕對增長為:腰椎0.94%;轉子0.88%)。因而,本品能逆轉骨質疏鬆症的進程。不論年齡、種族、基線骨轉換率、腎功能以及各種常用藥物套用,本品都有相似的療效。
| 絕經後婦女骨質疏鬆治療研究 每日本品10mg與安慰劑比較的時效 腰椎骨密度自基線的變化百分率 |
福善美在另一研究中,本品每天10mg用藥2年,患者的腰椎、股骨頸和轉子以及全身的骨密度均相對於鼻內滴入鮭魚降鈣素每天100IU或安慰劑有顯著性增加。
對於用本品每天10mg治療1年或2年的絕經後骨質疏鬆患者,評價了終止治療的影響。停藥後,未見骨量進一步增加,也未見骨量丟失加快。這些數據表明,堅持本品10mg治療必須每天連續進行,使骨量遞增。
一項為期一年雙盲多中心研究表明,本品每周一次70mg(N=519)與每天10mg(N=370)對絕經後骨質疏鬆的婦女的治療作用是相當的。一年時腰椎BMD相對於基礎值的平均增加,在每周一次70mg組為5.1%(4.8,5.4%;95%CI);在每天10mg組為5.4%(5.0,5.8%;95%CI)。兩治療組在其它骨骼部位的BMD的增加也是相似的。這些資料顯示,本品每周一次70mg在降低骨折發生率方面與每天10mg是同樣有效的。
對骨折發生率的影響
為評價本品對脊椎骨折發生率的影響,將美國和多國研究結果進行聯合分析,比較安慰劑與本品各劑量組(5mg或10mg治療3年,或者用20mg治療2年再用5mg治療1年)的作用。本品治療的患者發生一次或多次脊椎骨折的比例較安慰劑降低48%(3.2%比6.2%),並具有統計學意義和臨床意義。總脊椎骨折降低得更明顯(4.2比11.3/100名患者)。而且,由於骨折數量和嚴重程度的降低,用本品治療的患者發生脊椎骨折時身高降低較少(5.9毫米比23.3毫米)。
另外,匯總五項安慰劑對照的2年或3年療程美國和多國研究中劑量³2.5mg的數據(本品1012例,安慰劑590例)進行的分析表明,非脊椎骨折的發生率顯著地降低了29%(本品9.0%比安慰劑12.6%)。與對脊椎骨折的影響類似,阿侖膦酸鈉的這些治療結果與所觀察到的骨量增加相符。
骨折干預試驗包括在絕經後婦女中進行的兩項研究:一項為期三年,研究對象在入組時至少有一處脊椎壓縮骨折;另一項為期四年,研究對象的骨量低但入組時沒有脊椎骨折。
骨折干預試驗:三年研究(病人在入組時至少有一處脊椎骨折)
這項隨機、雙盲、以安慰劑為對照的研究,納入了2027個病人(本品,1022例;安慰劑,1005例)結果表明,在三年時,本品降低骨折發生率有顯著的統計學意義和臨床意義(如下表所示)。從上面五組骨質疏鬆治療研究可以看出,髖和腕部骨折也呈現類似比例的下降。
| 骨折干預試驗三年研究中 本品對骨折發生率的影響 (患者在入組時有椎骨骨折) | |||
|---|---|---|---|
| 患者 | 患 者% 本品 安慰劑 (n=1022) (n=1005) | 骨折發生率降低% | |
| 椎骨骨折(X光診斷)^ | | | |
| ³1次新發椎骨骨折 | 7.9 | 15.0 | 47*** |
| ³2次新發椎骨骨折 | 0.5 | 4.9 | 90*** |
| 疼痛性(臨床)骨折 | | | |
| ³1次疼痛性椎骨骨折 | 2.3 | 5.0 | 54** |
| 任何疼痛性骨折 | 13.8 | 18.1 | 26** |
| 髖部骨折 | 1.1 | 2.2 | 51* |
| 腕部(前臂)骨折 | 2.2 | 4.1 | 48* |
^椎骨骨折可評價的數目: 本品,n=984; 安慰劑,n=966
*P<0.05, **P<0.01, ***P<0.001
而且,在入組時即有椎骨骨折的病人中,本品治療能顯著降低各種原因住院的發生率(25.0%對30.7%,降低20%),這種差別的出現至少部分與骨折發生率下降有關。
骨折干預試驗:四年研究(病人骨量低,但入組時無椎骨骨折)
這項隨機、雙盲、以安慰劑為對照的實驗,納入了4432個病人(本品,2214例;安慰劑,2218例),其結果進一步表明了本品治療可降低骨折發生率。這組研究的目的是納入骨質疏鬆的婦女,即:研究對象的股骨頸BMD基線值較年輕成年婦女的平均值至少低兩個標準差。但是,由於後來對股骨頸BMD正常值的修改,有31%的病人沒能滿足納入標準,因而此項研究包括了骨質疏鬆和非骨質疏鬆婦女。下表列出了骨質疏鬆病人的研究結果。
| 骨折干預試驗四年研究中 本品對骨質疏鬆^患者骨折發生率的影響 (患者入組時無椎骨骨折) | |||
|---|---|---|---|
| 患者 | 患 者% 本品 安慰劑 (n=1545) (n=1521) | 骨折發生率降低% | |
| ³1次疼痛性骨折 | 12.9 | 16.2 | 22** |
| ³1次椎骨骨折^^ | 2.5 | 4.8 | 48*** |
| ³1次疼痛性椎骨骨折 | 1.0 | 1.6 | 41^^^ |
| 髖部骨折 | 1.0 | 1.4 | 29^^^ |
| 腕部(前臂)骨折 | 3.9 | 3.8 | / |
^股骨頸BMD基線值較年輕成年婦女的平均值至少低兩個標準差
^^椎骨骨折可評價的數目: 本品,n=1426; 安慰劑,n=1428
^^^無顯著性
**P=0.01, ***P<0.001
對所有病人(包括沒有骨質疏鬆的病人),骨折發生率下降情況如下:³1次疼痛性骨折下降14%(P=0.072);³1次椎骨骨折下降44%(P=0.001);³1次疼痛性椎骨骨折下降34%(P=0.178),髖部骨折下降21%(P=0.44)。在所有病人中,腕部骨折的發生率,本品組為3.7%;安慰劑組為3.2%(沒有顯著差異)。
骨折結果的一致性
在降低椎骨骨折發生率方面(本品比安慰劑),骨折干預試驗(包括3年和4年兩研究)結果與美國和國際多中心研究的結果一致(如上),其中80%的婦女在入組時沒有椎骨骨折。在這些研究中,對至少有一處新椎骨骨折的婦女,本品治療可使其所占比例降低約50%(其中,三年骨折干預試驗組降低47%,P<0.001;四年骨折干預試驗組降低44%,P=0.001;國際多中心組為48%,P=0.034)。另外,對有多處(兩處或兩處以上)新骨折的婦女,在國際多中心組以及三年骨折干預試驗組中,經本品治療後其所占比例下降約為90%。因此,無論病人先前有無椎骨骨折,本品均能降低椎骨骨折的發生率。
總的來說,這些結果一致表明,本品能有效地降低骨質疏鬆性骨折好發部位:椎骨和髖部骨折的發生率。
骨組織學
270名用本品每天1mg至20mg治療一、二或三年的絕經後骨質疏鬆症患者的骨組織學檢查表明,與安慰劑比較,治療組出現了正常的骨礦化和結構,以及預期的骨轉換率降低。結合長期給予阿侖膦酸鈉的大鼠和狒狒所觀察到的正常骨組織學和骨強度增加的結果表明,本品治療期間形成的骨骼是正常的。
治療男性骨質疏鬆症
一項為期兩年的雙盲、安慰劑對照的多中心臨床研究證明了每日服用10mg本品對男性骨質疏鬆患者的療效。這項研究共入選了241名年齡在21歲至87歲(平均63歲)的男性患者,每日服用本品10mg的患者兩年後相對於安慰劑治療患者的骨密度平均增加百分數如下:腰椎 5.3%,股骨頸2.6%,大轉子3.1%和全身1.6%(所有P£0.001)。在這些男性患者中,每日服用本品10mg降低了新脊椎骨折(定量放射照相術檢測)的發生率(本品與安慰劑分別為0.8%和 7.1%,P=0.017),也減少了身高的降低(本品 與安慰劑身高降低分別為0.6毫米和2.4毫米,P=0.022)。不論年齡、、性腺功能、基線骨密度如何,本品都有效。這與絕經後婦女大規模的研究結果是一致的。

