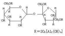
成份
硫糖鋁口服混懸液本品主要成份為:蔗糖硫酸酯的鹼式鋁鹽。
化學結構式為:
性狀
本品為白色或類白色乳狀混懸液。
適應症
用於胃和十二指腸潰瘍的治療。
用法用量
口服。一次10~20ml,一日2~4次,餐前1小時及睡前服用,服時搖勻。療程4~6周,或遵醫囑。
不良反應
較常見的不良反應是便秘。少見或偶見的有腰痛、腹瀉、噁心、眩暈、嗜睡、口乾、消化不良、疲勞、皮疹、瘙癢、背痛及胃痙攣。
禁忌
雖未證明對胎兒有影響,但能通過母乳排出,孕婦及哺乳期婦女慎用。
注意事項
1.出現便秘時可加服少量鎂乳等輕瀉劑。
2.胃痛較劇的患者,可加適量抗膽鹼藥物,待疼痛減輕後,再單獨服用本品。
3.消化性潰瘍為慢性病,受多種因素的影響,易復發,在取得療效後,應繼續服本品數月,在治療期間亦應注意飲食和保暖。
4.長期大劑量服用本品,可能會造成體液中的磷的缺乏。
5.肝腎功能不全者或透析患者慎用或不用。
6.甲狀腺機能亢進或抗維生素營養不良性佝僂病等血磷酸鹽過少的病人,不宜長期服用本品。
兒童用藥
無可靠參考文獻,請遵醫囑。
老年用藥
無可靠參考文獻,請遵醫囑。
藥物相互作用
制酸劑能影響硫糖鋁療效,服本品前半小時內不宜服用制酸劑。
藥物過量
無可靠參考文獻,請遵醫囑。
藥理毒理
本品為胃黏膜保護劑,動物試驗證實本品不影響胃酸分泌功能,可使胃蛋白酶失活。酸性環境中與胃內滲出蛋白質結合成凝膠狀物復蓋於胃黏膜表面,阻止H+彌散。
藥代動力學
本藥口服後可釋放出鋁離子和八硫酸蔗糖複合離子,胃腸道吸收僅5%,作用持續時間約5小時。主要隨糞便排出,少量以雙糖硫酸鹽隨尿排出。慢性腎功能不全者的血清和尿鋁濃度明顯高於腎功能正常者。
貯藏
遮光、密封、在陰涼乾燥處(不超過20℃)保存。
包裝
鋁箔袋裝10ml×12袋/盒;塑膠瓶裝200ml /瓶。
執行標準
《中國藥典》2010年版二部

