個別元素相加
通常的矩陣加法被定義在兩個相同大小的矩陣。兩個 m×n矩陣 A和 B的和,標記為 A+ B,一樣是個 m×n矩陣,其內的各元素為其相對應元素相加後的值。例如:
矩陣加法也可以做矩陣的減法,只要其大小相同的話。 A- B內的各元素為其相對應元素相減後的值,且此矩陣會和 A、 B有相同大小。例如:
矩陣加法做矩陣加法
一般的矩陣加(減)法如下,至於下一節的“直和”請另找參考資料。
先輸入要相加的兩個矩陣,大小必須一致為mxn,一般矩陣加法才有定義;
用滑鼠選取大小為的空白格矩陣;
輸入 =
用滑鼠選取矩陣1
輸入 + (若做減法則輸入 -)
用滑鼠選取矩陣2
1.先輸入要相加的兩個矩陣,大小必須一致為mxn,一般矩陣加法才有定義;
2.用滑鼠選取大小為的空白格矩陣;
3.輸入 =
4.用滑鼠選取矩陣1
5.輸入 + (若做減法則輸入 -)
6.用滑鼠選取矩陣2
7.按“Ctrl+Shift+Enter”這三個鍵的組合。
直和
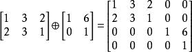
矩陣加法另較少用來的一種運算為直和。直和可以由任何一對矩陣形成,其定義為:
矩陣加法舉例來說:
注意到兩個方陣的直和可以表示兩個圖論的聯集之鄰接矩陣。
在任兩個向量空間內取定基底,並取兩基底的聯集為向量空間直和的基底,則兩空間上的線性變換的直和可以表成兩矩陣的直和。
一般地, n個矩陣的直和可以寫成:
矩陣加法
