力矩
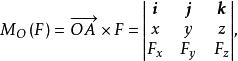
力矩(moment of force)是力學的基本概念之一,是力使物體繞一點或一軸轉動的狀態發生改變的作用的度量,稱該點為 矩心,該軸為 矩軸。力對點的矩可表示為向量,它等於由矩心到力作用點所確定的向量和力向量的向量積,如圖1 ,
圖1
圖2力F作用點為A,矩心點為O,力對O的力矩為
矩心
矩心
矩心
矩心
矩心
矩心
矩心
矩心
矩心
矩心
矩心
矩心
矩心
矩心
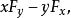
矩心其大小為 ,式中 是 到 的距離,稱為 力臂。該力矩的方向是由 到 再到 ,符合右手螺鏇法則。力對軸的矩是代數量,把力分解為平行和垂直於軸的兩個分量,垂直分量的大小乘以它與軸的距離即力矩大小,若垂直分量繞軸的轉向相對軸向符合右手螺鏇法則,取正號,反之取負號;如圖2,力 相對z軸的垂直分量為 ,它到z的距離為h,力對z軸的矩為 ,若取 坐標系,令 為坐標軸上的單位向量,點A的坐標為 ,設 ,則
矩心
矩心可見, 在z軸的投影為
矩心
矩心
矩心
矩心
矩心正好等於 的垂直分量對z軸的力矩,亦即F對z軸的力矩 ,對其他軸亦有類似情形,故力對某軸上任一點的力矩在該軸的投影,就等於力對這個軸的力矩。力矩的單位在國際單位制中為 ,在工程單位制中為 。
例題分析
矩心【例1】圖示的桿AB,長度為L,自重不計,A端為固定鉸鏈支座,桿的中點C懸掛一重量為G的物體,B端支靠於光滑的牆上,其約束反力為N,桿與鉛直牆面的夾角為 ,試分別求G和N對鉸鏈中心A點的力矩。
圖3答:見圖3。
(1)畫出力N和G對矩心A的力臂h和d。
(2)計算力臂的大小
矩心
矩心(3)計算力矩
矩心
矩心
