概述
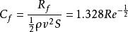
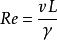
"相當平板"假定認為:實船或船模的摩擦阻力分別等於與其同速度、同長度、同濕表面積的光滑平板摩擦阻力。這樣,當已知船的水線長L、航速V及濕面積S,就可以利用平板摩擦阻力公式來計算船體摩擦阻力 。
尺度效應修正
在套用實驗方法研究船的快速性問題時,由於模型和實船(或實槳)之間的絕對尺度不同,且不能同時滿足全相似定律,因而引起某些力、力矩或壓力係數甚至流態等性能方面的差別,這種差別被稱為尺度效應或者尺度作用。
顯然套用相當平板假定計算船體摩擦阻力時,必須注意到船模和實船之間的尺度效應問題。因為與實船相比,船模的尺度較小,同時又為了滿足傅汝德定律,所以其速度也較低,因而實船與船模的雷諾數是不同的,兩者的摩擦阻力係數的差別稱為摩擦阻力尺度效應。在實船-船模阻力換算過程中,考慮到這種差別稱為“摩擦阻力修正”或“尺度效應修正”。
平板摩擦阻力係數計算公式
雖然計算機的套用和數值計算均有很大的發展,但要求解像船體這樣形狀極為複雜的物體的邊界層問題尚不能給出可供工程上實用的結果。因此.目前計算船體摩擦阻力仍不得不以光滑平板摩撤阻力係數公式為基礎。本節先介紹光滑平板摩擦阻力係數計算公式,然後說明船體摩擦阻力計算的處理方法。
光滑平板層流摩擦阻力係數公式
當平板界層內全為層流狀態時,勃拉齊(IBlasius)早在1908年根據層流界層微分方程式給出了理論上的精確解為:
相當平板
相當平板
相當平板此式稱勃拉齊公式,與實驗結果完全相符。必須說明的是,理論上得到的層流平板摩擦阻力係數的精確計算式,並不適用於造船工程實際,因其對應的雷諾數範圍為:。一般船舶的雷諾數在,其對應的流動狀態為紊流邊界層。
1957ITTC公式
1957年國際船模實驗池會議實船-船模換算公式(簡稱1957ITTC公式)。在此之前已有的各光滑平板摩擦阻力公式的計算結果雖然很接近,但還有一定的差別。尤其在吧船模實驗結果換算到實船時,由於套用公式不同,計算所得的實船阻力均存在不同程度的差別。為此1957年在西班牙馬德里召開的第八屆國際船模實驗池會議(簡稱ITTC)上根據分析幾何相似船模阻力的實驗結果,認為桑海公式在低雷諾數時所得的數值偏低。最後提出下列新公式,叫做“1957年國際船模實驗池會議實船-船模換算公式”,(簡稱1957ITTC公式):
相當平板應該指出,1957ITTC公式並不完全是紊流光滑平板摩擦阻力係數公式,它專用於船模和實船的阻力換算。我國現用ITTC公式。
過渡流平板摩擦阻力係數公式
光滑平板摩擦阻力係數公式的比較
相當平板根據邊界層理論知,界層內的流動狀態取決於雷諾數,靠近平板前端,局部雷諾數比較小,所以產生層流。隨著局部雷諾數的增高.則產生過渡流,直到最後完全呈紊流狀態。所以,在平板邊界層內三種流動情況都存在著。若平板的雷諾數較大,則紊流部分很大,基本上是紊流阻力,前端的層流和過渡流對整個平板的阻力影響較小。反之,Re較小時,前端層流和過渡流占整個平板界層的較大部分,以致對整個平板的平均阻力產生明顯影響。
過渡流平板摩擦阻力係數可按柏蘭特所給出的半經驗公式計算:
相當平板
相當平板式中為層流影響修正值。顯見當Re很大時,該值趨於零,上式即成為柏蘭特-許立汀公式。這說明平板界層內紊流占絕對主要部分,所以可以按全部紊流平板公式計算。
