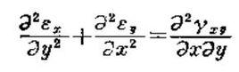
在彈性力學中,相容方程是按應力求解平面問題的方法。
形變分量εx、εy與γxy必須滿足這個方程,才能保證位移分量u和v的存在。否則,變形後的物體就不是連續的,而將發生某些部位的相互分離或侵入。
![相容方程[彈性力學中的相容方程] 相容方程[彈性力學中的相容方程]](/img/b/1f0/nBnauM3X0YzN4IDM2ETNxUTN1UTM1QDN5MjM5ADMwAjMwUzLxUzL0gzLt92YucmbvRWdo5Cd0FmLxE2LvoDc0RHa.jpg)
在彈性力學中,相容方程是按應力求解平面問題的方法。
形變分量εx、εy與γxy必須滿足這個方程,才能保證位移分量u和v的存在。否則,變形後的物體就不是連續的,而將發生某些部位的相互分離或侵入。
在彈性力學中,相容方程是按應力求解平面問題的方法。
形變分量εx、εy與γxy必須滿足這個方程,才能保證位移分量u和v的存在。否則,變形後的物體就不是連續的,而將發生某些部位的相互分離或侵入。
彈性力學也稱彈性理論,主要研究彈性體在外力作用或溫度變化等外界因素下所產生的應力、應變和位移,從而解決結構或機械設計中所提出的強度和剛度問題。在研究對象...
簡介 發展簡史 基本內容 基本假定 分支學科力學史(history of mechanics) 是力學的一個分支,也是科學史的一個分支,它記述和研究人類從自然現象和生產活動中認識和套用物體機械運動...
力學史 古代的力學 中世紀的力學 經典力學 力學主要分支《板殼非線性流體彈性力學》是國防工業出版社於2016年出版的圖書,作者是白象忠、郝亞娟、田振國。
編輯推薦 內容簡介 目錄方程和基本解法)的闡述,突出解決彈性力學問題的思路、方法和步驟,以使學生在...力學的內容1—2彈性力學中的幾個基本概念1—3彈性力學中的基本...4—2極坐標中的幾何方程及物理方程4—3極坐標中的應力函式與相容...
出版信息 內容簡介 目錄《彈性力學(第3版)》是2015年清華大學出版社出版的書籍,作者是王光欽、丁桂保、楊傑。
內容介紹 前言 目錄《工程彈性力學》是為高等學校工程力學與相關工科專業本科生和研究生編寫的彈性力學教材。從彈性力學平面問題和空間問題的基本理論及其基本方程、利用彈性力學的基...
編輯推薦 圖書目錄《彈性力學與張量分析》是2003年高等教育出版社圖書發行部(蘭色暢想)出版的圖書,作者是郭日修。本書供高等學校船舶與海洋工程等工程專業作研究生教材用,也...
內容介紹 目錄《彈性力學》是2010年化學工業出版社出版的圖書,作者是樊友景。
內容簡介 圖書目錄《彈性力學(上冊)》是2008年12月由高等教育出版社出版的圖書,作者是徐芝綸。本書上冊先講平面問題,再講空間問題,下冊先講薄板問題,再講薄殼問題。
內容介紹 作者簡介 目錄