定義
相圖
相圖簡單的相圖如水的圖(見上圖),從中可以很容易地讀出水的三相點、臨界點等信息。圖中的分隔線稱為“兩相平衡線”,所劃出的範圍表示單相區(雙變數系統),兩個變數可以同時在一定範圍內改變而無新相出現。常見的二組分系統相圖有壓力-組成圖、溫度-組成圖、蒸汽壓-液相組成圖、溶解度圖(溫度-組成)、低共熔混合物相圖等。
控制理論中的定義
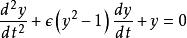
Van der Pol 公式的相圖在控制理論中,相圖(phase portrait)是動態系統在相平面上的狀態軌跡的幾何表達。右圖是經典非線性系統 Van der Pol 公式的相圖。圖中Van der Pol 振盪器的狀態軌線收斂於一個極限環上。
相圖[物理名詞]
相圖[物理名詞]通過研究非線性系統(如鐘擺,倒立擺,隧道二極體等)在平衡點附近的相圖特性,可以判斷系統的穩定性,漸近穩定性等。
相關關鍵字:
鞍點(saddle),焦點(focus),分叉(bifurcation),極限環(limit circle),周期軌道(periodic orbit)。
用途
固態不互溶系統的相圖(低共熔混合物)對於多相體系,各相間的相互轉化,新相的形成,舊相的消失與溫度,壓力,組成有關。根據實驗數據給出的表示相變規律的各種幾何圖形稱為相圖。從這種幾何圖形上,可以直觀看出多相體系中各種聚集狀態和它們所處的條件(溫度,壓力,組成)。
金屬及其他工程材料的性能決定於其內部的組織、結構,金屬等材料的組織又由基本的相所組成。由一個相所組成的組織叫單相組織,兩個或兩個以上的相組成的叫兩相或多相組織。
相圖就是用來表示材料相的狀態和溫度及成分關係的綜合圖形,其所表示的相的狀態是平衡狀態。
表達混合材料性質的一種很簡便的方式就是相圖。二元相圖可以看作是標示出兩種材料混合物穩定相區域的一種圖,這些相區域是組成百分比和溫度的函式。相圖也可能依賴於氣壓。
![相圖[物理名詞] 相圖[物理名詞]](/img/2/3e9/nBnauM3XyETOxMTO4kDMxADO1UTM1QDN5MjM5ADMwAjMwUzL5AzL3EzLt92YucmbvRWdo5Cd0FmLzE2LvoDc0RHa.jpg)
