原理
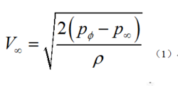
皮托管是測量氣流總壓(見壓力)的一種裝置,是18世紀法國工程師H.皮托發明的,故名。用實驗方法直接測量氣流的速度比較困難,但氣流的壓力則可以用測壓計方便地測出。它主要是用來測量飛機速度的,同時還兼具其他多種功能。因此,可用皮托管測量壓力,再套用伯努利定理算出氣流的速度。皮托管由一個圓頭的雙層套管組成(見圖),外套管直徑為D,在圓頭中心O處開一與內套管相連的總壓孔,聯接測壓計的一頭,孔的直徑為0.3~0.6D。在外套管側表面距O約3~8D的C處沿周向均勻地開一排與外管壁垂直的靜壓孔,聯接測壓計另一頭,將皮托管安放在欲測速度的定常氣流中,使管軸與氣流的方向一致,管子前緣對著來流。當氣流接近O點處,其流速逐漸減低,流至O點滯止為零。所以O點測出的是總壓P。其次,由於管子很細,C點距O點充分遠,因此C點處的速度和壓力已經基本上恢復到同來流速度V和壓力P相等的數值,因而在C點測出的是靜壓。對於低速流動(流體可近似地認為是不可壓縮的),由伯努利定理得確定流速的公式為:
皮托管根據測壓計測出的總壓和靜壓差P-P,以及流體的密 度ρ,可以按照式(1)求出氣流的速度。
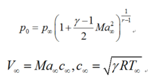
對於亞聲速流動 以下關係式成立:
皮托管式中Ma,c,T分別為來流的馬赫數、聲速和溫度;γ為比熱比;R為氣體常數。通過測壓計測出總壓和靜壓,利用測溫儀器測出來流的溫度,於是流速V即可根據式(2)和式(3)求出。
對於超聲速流動,在皮托管頭部會產生離體激波(見激波),故以下關係成立:
皮托管式中p是激波後駐點處的總壓。進一步可求出流速V
在高亞聲速流動和超聲速流動情形中,由於存在著多種干擾因素,利用靜壓孔測靜壓並不準確。這時常常改用其他方法測量靜壓。
由於測壓孔有一定面積,也由於支桿干擾和製作上等原因,測壓計測得的壓差不會正好是P-P,因此通常在式(1)的根號內乘上一個很接近於1的修正係數(在0.98~1.05之間)。值通過同標準皮托管作校正能求得。對於某些特殊類型的流動,如粘性起主要作用的低雷諾數流動和稀薄氣體流動,必須對常規皮托管的計算公式進行適當的修正,才能精確計算流速。
相關介紹
空速管定義
空速管也叫氣流方向感測器或流向角感應器,與精密電位計(或同步機或解析器)連線在一起,提供出一個表示相對於大氣數據桁架縱軸的空氣流方向的電信號。
空速管套用
空速管是飛機上極為重要的測量工具。它的安裝位置一定要在飛機外面氣流較少受到飛機影響的區域,一般在機頭正前方,垂尾或翼尖前方。同時為了保險起見,一架飛機通常安裝2副以上空速管。有的飛機在機身兩側有2根小的空速管。美國隱身戰鬥機F-117在機頭最前方安裝了4根全向大氣數據探管,因此該機不但可以測大氣動壓、靜壓,而且還可以測量飛機的側滑角和迎角。有的飛機上的空速管外側還裝有幾片小葉片,也可以起到類似作用;垂直安裝的用來測量飛機側滑角,水平安裝的葉片可測量飛機迎角,為了防止空速管前端小孔在飛行中結冰堵塞,一般飛機上的空速管都有電加溫裝置。
空速管測量飛機速度的原理
它主要是用來測量飛機速度的,同時還兼具其他多種功能。
空速管測量飛機速度的原理是這樣的,當飛機向前飛行時,氣流便衝進空速管,在管子末端的感應器會感受到氣流的衝擊力量,即動壓。飛機飛得越快,動壓就越大。如果將空氣靜止時的壓力即靜壓和動壓相比就可以知道衝進來的空氣有多快,也就是飛機飛得有多快。比較兩種壓力的工具是一個用上下兩片很薄的金屬片製成的表面帶波紋的空心圓形盒子,稱為膜盒。這盒子是密封的,但有一根管子與空速管相連。如果飛機速度快,動壓便增大,膜盒內壓力增加,膜盒會鼓起來。用一個由小槓桿和齒輪等組成的裝置可以將膜盒的變形測量出來並用指針顯示,這就是最簡單的飛機空速表。
現代的空速管除了正前方開孔外,還在管的四周開有很多小孔,並用另一根管子通到空速表內來測量靜止大氣壓力,這一壓力稱靜壓。空速表內膜盒的變形大小就是由膜盒外的靜壓與膜盒內動壓的差別決定的。
空速管測量出來的靜壓還可以用來作為高度表的計算參數。如果膜盒完全密封,裡面的壓力始終保持相當於地面空氣的壓力。這樣當飛機飛到空中,高度增加,空速管測得的靜壓下降,膜盒便會鼓起來,測量膜盒的變形即可測得飛機高度。這種高度表稱為氣壓式高度表。
利用空速管測得的靜壓還可以製成"升降速度表",即測量飛機高度變化快慢(爬升率)。表內也有一個膜盒,不過膜盒內的壓力不是根據空速管測得的動壓而是通過專門一根在出口處開有一小孔的管子測得的。這根管子上的小孔大小是特別設計的,用來限制膜盒內氣壓變化的快慢。如果飛機上升很快,膜盒內的氣壓受小孔的制約不能很快下降,而膜盒外的氣壓由於有直通空速管上的靜壓孔,可以很快達到相當於外面大氣的壓力,於是膜盒鼓起來。測量膜盒的變形大小即可算出飛機上升的快慢。飛機下降時,情況正相反。膜盒外壓力急速增加,而膜盒內的氣壓只能緩慢升高,於是膜盒下陷,帶動指針,顯示負爬升率,即下降速率。飛機平飛後,膜盒內外氣壓逐漸相等,膜盒恢復正常形狀,升降速度表指示為零。
空速管是飛機上極為重要的測量工具。它的安裝位置一定要在飛機外面氣流較少受到飛機影響的區域,一般在機頭正前方,垂尾或翼尖前方。同時為了保險起見,一架飛機通常安裝2副以上空速管。有的飛機在機身兩側有2根小的空速管。美國隱身戰鬥機F-117在機頭最前方安裝了4根全向大氣數據探管,因此該機不但可以測大氣動壓、靜壓,而且還可以測量飛機的側滑角和迎角。有的飛機上的空速管外側還裝有幾片小葉片,也可以起到類似作用;垂直安裝的用來測量飛機側滑角,水平安裝的葉片可測量飛機迎角。
空速管測量出來的速度並非是飛機真正相對於地面的速度,而只是相對於大氣的速度,所以稱為空速。如果有風,飛機相對地面的速度(稱地速)還應加上風速(順風飛行)或減去風速(逆風飛行)。另外空速管測速原理利用到動壓,而動壓和大氣密度有關。同樣的相對氣流速度,如果大氣密度低,動壓便小,空速表中的膜盒變形就小。所以相同的空速,在高空指示值比在低空小。這種空速一般稱為"錶速"。現代的空速表上都有兩根指針,一根比較細,一根比較寬。寬的指針指示"錶速",而細的一根指示的是經過各種修正的相當於地面大氣壓力時的空速,稱為 "實速"。
為了防止空速管前端小孔在飛行中結冰堵塞,一般飛機上的空速管都有電加溫裝置。
空速管的其他用途
空速管測量出來的靜壓還可以用來作為高度表的計算參數。如果膜盒完全密封,裡面的壓力始終保持相當於地面空氣的壓力。這樣當飛機飛到空中,高度增加,空速管測得的靜壓下降,膜盒便會鼓起來,測量膜盒的變形即可測得飛機高度。這種高度表稱為氣壓式高度表。
利用空速管測得的靜壓還可以製成"升降速度表",即測量飛機高度變化快慢(爬升率)。表內也有一個膜盒,不過膜盒內的壓力不是根據空速管測得的動壓而是通過專門一根在出口處開有一小孔的管子測得的。這根管子上的小孔大小是特別設計的,用來限制膜盒內氣壓變化的快慢。如果飛機上升很快,膜盒內的氣壓受小孔的制約不能很快下降,而膜盒外的氣壓由於有直通空速管上的靜壓孔,可以很快達到相當於外面大氣的壓力,於是膜盒鼓起來。測量膜盒的變形大小即可算出飛機上升的快慢。飛機下降時,情況正相反。膜盒外壓力急速增加,而膜盒內的氣壓只能緩慢升高,於是膜盒下陷,帶動指針,顯示負爬升率,即下降速率。飛機平飛後,膜盒內外氣壓逐漸相等,膜盒恢復正常形狀,升降速度表指示為零。
空速管測量出來的速度並非是飛機真正相對於地面的速度,而只是相對於大氣的速度,所以稱為空速。如果有風,飛機相對地面的速度(稱地速)還應加上風速(順風飛行)或減去風速(逆風飛行)。另外空速管測速原理利用到動壓,而動壓和大氣密度有關。同樣的相對氣流速度,如果大氣密度低,動壓便小,空速表中的膜盒變形就小。所以相同的空速,在高空指示值比在低空小。這種空速一般稱為"錶速"。現代的空速表上都有兩根指針,一根比較細,一根比較寬。寬的指針指示"錶速",而細的一根指示的是經過各種修正的相當於地面大氣壓力時的空速,稱為 "實速"。

