原理
測量流體壓差的一種裝置,是義大利物理學家G. B. 文丘里發明的,故名。文丘里管是先收縮而後逐漸擴大的管道。測出其入口截面和最小截面處的壓力差,用伯努利定理即可求出流量。
文丘里管文丘里管由以下各部分組成:①入口段:一個短的圓柱段,其直徑為D;②收縮段:形狀為一錐形管,錐角約為21°±2°;③喉道:一個短的直管段,直徑約為1/3~1/4D,長度等於管徑;④擴散段:錐角為8°~15°的錐管。距入口段末端0.25~0.75D處有一個測壓環,上面至少有4個測壓孔,和壓環通向壓力計。此外,在喉道中央處也有一個多孔道的測壓環通向壓力計。通過壓力計的刻度或自動記錄儀可測出入口截面同最小截面(即喉道截面)處的壓力差。
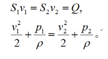
設入口截面處和喉道處的平均速度、平均壓力和截面積分別為v、p、S,和v、p、S;流體密度為ρ。套用伯努利定理和連續性方程並注意到平均運動的流線是等高的,可得出:
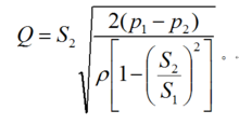
文丘里管由此可得計算流量Q的公式:
文丘里管知道ρ、S、S並測出p-p後,可以根據上式求出流量Q。
文丘里管主要優點是裝置簡單;其次,由於它的擴散段使流體逐漸減速,減小了湍流度(見湍流),所以壓頭損失小,不超過入口和喉道間壓差的10~20%。
用途
文丘里管(Venturi tube)按結構分為內藏式文丘里管和插入式文丘里管。 在鋼鐵廠熱風爐的助燃風、冷風、煤氣計量(高爐煤氣、焦爐煤氣、轉爐煤氣)及熱電廠的鍋爐一次風、二次風大管徑、低流速管道計測量中收到了良好的效果。 解決現行工業企業中低壓、大管徑,低流速各類氣體流量精確測量。測量範圍寬、安裝方便的流體測量裝置。獨特的結構設計及數據處理方法具有嚴格的流體力學依據,並在國家大型重點風洞實驗室進行實流標定。
可廣泛用於,石油、化工、冶金、電力等行業大管徑流體的控制與計量。
特點
(1)對流體產生的阻力小,約150Pa因此能耗低。
(2)壓差大,精度高,測量範圍寬。
(3)穩定性好,有平滑的壓差特性。
(4)使用範圍寬,一般氣體、煙氣、含雜質較多的高爐煤氣等,長期使用不發生堵塞現象。
(5)安裝方便,便於長期維護。
(6)前後直管段比標準節流裝置短,約前1.5D後1D。
(7)具有線上溫度、壓力自修正一體化結構。
特點
雙文丘里測速管是一種用於電廠的大口徑煙氣管道的流量測量,測量大口徑管道流速的差壓感受元件,配合差壓變送器以及記錄、顯示等儀表就可以求得管內被測點處的瞬時流速值。通過調節儀表也可以對管內流速進行調節,其特點如下:
與前面節流裝置相比:體積小。永久性壓力損失極小。結構簡單,對檢查、清洗、維修均很方便。
技術條件
(1)適用工業管道:圓形截面管道公稱直徑:
DN=500~4000mm圓形截面管道:W×H=600×600~3600×3600mm以及寬、高不等矩形管道。
(2)公稱壓力:PN≤6.4MPa
(3)工作溫度:低於400℃(高於400℃時,訂貨時應說明)
(4)差壓值:0~1.0, 1.6 ,2.5,4.,6.3,10,16,25及40KPa
(5)重複性誤差:±0.5%
(6)穩定度:±10Pa
(7)精度等級:0.5級,1級,1.5級,2級
(8)感測器接管尺寸:焊接鋼管G3/4",M20×1.5或1/2NPT
(9)測量介質,冶金:高爐煤氣、冷風、助燃風、煙氣、回收煤氣、混合煤氣
電力:一次風、二次風、撥煤風等
化工:腐蝕性氣體、空氣及其它介質
結構形式
1、 文丘里管道結構示意圖見圖
2、 矩形管道內藏式文丘里管示意圖見圖:
3、 圓形管道內藏式文丘里管示意圖見圖:

