簡介
煤耗率是指在一定時區內,燒化石燃料電廠所消耗的燃料與輸出電量之比,簡稱煤耗,單位為g/(kw·h)。發電煤耗量與發電量之比(或單位時間燃煤消耗量g/h 與發電機功率kw 之比),稱為發電煤耗率。發電量扣除廠用電量稱為供電量,發電煤耗量與供電量之比,稱為供電煤耗率。為使燃用不同發熱量的煤炭或其他燃料的發電廠的煤耗率指標具有可比性,將所消耗的煤炭折合成低位發熱量為29.3×106J/kg(7000大卡/千克)的標準煤計算,所得的煤耗率指標稱為標準煤耗率(簡稱標準煤耗)。供電煤耗率指標是發電廠主要的技術經濟指標,它是反映電廠發電能源利用效率的指標。供電煤耗率與電廠的熱效率有關,熱效率越高,供電煤耗率就越低。一般中溫中壓凝汽式電廠的供電標準煤耗率約480g/(kw·h),高溫高壓電廠約為380g/(kw·h),超高壓電廠約為360g/(kw·h),熱電聯產的熱電廠由於減少了汽輪機排汽的熱量損失,其供電標準煤耗率隨發電量與對外供熱的產熱量的比例而變化,可低至280g/(kw·h)左右。
發電煤耗的計算
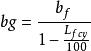
發電煤耗 的計算公式為:
發電耗煤率式中:
b——發電煤耗,單位為g/(kW·h);
b——發電標準煤耗,單位為g/(kW·h);
L——發電廠用電率,單位為% 。
發電煤耗的影響因素
從定量角度來看
1.廠用電率對供電煤耗的影響 。計算供電量的供電煤耗是發電量減去發電廠用電量後進行計算。因此發電廠用電率愈大,供電煤耗就愈高。
2.熱電比對供電標準煤耗率的影響。熱電比是熱電廠機組供熱量與機組發電量之比。機組供熱愈大,機組得益愈大,機組供電煤耗就低。
3.鍋爐效率對供電標準煤耗率的影響。鍋爐效率愈高,供電標準煤耗率愈低。
4.汽機熱耗率變化對供電煤耗的影響。汽機熱耗率越小,供電煤耗就越小。
從定性角度來看
1.停爐,啟、停機的影響。機、爐的啟停都有一個過程,並要消耗一定的燃料、電力等,在電力工業生產統計指標計算中規定,機、爐的啟動、停止所消耗的煤、油、電等都包括在發電供熱生產耗用的數量內,從而會影響供電煤耗的升高。同時鍋爐在停爐時,根據調度(值長)指令,若控制不好待停爐的粉倉粉位,就會造成燒粉排汽停爐或停爐後抽粉等不必要的消費,使煤耗升高。
2.機爐運行方式及熱電負荷分配對煤耗的影響。機、爐運行方式的合理程度是影響全廠安全經濟生產的主要因素。廠系小電網系統,安裝機、爐台數少,長期擔負著調峰任務,機、爐的運行台數和電負荷的分配受著電網需求的限制,經常出現不合理的運行方式,給降低煤耗帶來局限性。
3.給水管運行方式的影響。給水管的運行方式分冷水管與熱水管,主要介紹熱水管的運行,對母管制給水系統熱水管的投入主要考慮:①獲得較高的給水溫度;②最短的輸送距離;③投入熱水管的條數。這三種都與降低煤耗有關。
4.減溫減壓器供熱的影響。減溫減壓器是熱電廠的備用供熱設備,是在機組抽汽供熱不能滿足熱用戶或其它原因機組不能供熱時,啟動減溫減.壓器向用戶供熱。它是把鍋爐產生的新蒸汽經過減溫減壓裝置降為符合用戶要求參數的蒸汽送給用戶。由於把高參數的蒸汽不作任何功降為低參數的蒸汽,造成了大量熱損失。因此,利用減溫減壓器供熱與機組抽汽供熱相比不經濟,會造成煤耗升高。
5.真空度對供電標準煤耗率的影響。真空度的大小就是指汽輪機排汽壓力的多少。排汽絕對壓力愈小理想絕對熱效率愈高,提高機組運行中的真空度,機組運行就會經濟,真空度愈高,供電標準煤耗率愈低。通過對以上影響供電煤耗的諸多因素分析,如何針對各影響因素,加強管理,降低供電煤耗,成為節能降耗的重要工作之一,就目前廠的實際生產情況,應該做好以下工作:
(1)做好指標計畫,確保指標在可控範圍。根據股份公司下達的年指標計畫,做好指標的月度分解,進行指標的細化管理,每月指標完成情況與月度分解值進行對比,指標出現大的偏差時,要進行專項分析,使每月的指標在可控範圍內。對全年的指標考核分解為月度管理。對每月指標完成情況進行分月考核,確保全年指標完成。
(2)做好指標統計工作。統計人員認真對日指標進行核算。每日對爐正反平衡煤量進行對比分析,超出偏差,立刻查找原因,同時對指標進行與前一日及與同期對比分析,發現問題及時匯報處理,查找原因。發現指標異常情況時應召開專題分析會,找出直接造成偏差的影響因素,使指標恢復正常。做到能及時對日指標偏差分析提供了科學依據。

