發射極耦合邏輯電路
正文
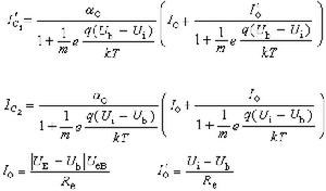
以多個電晶體的發射極相互耦合加上射極跟隨器組成的電路,簡稱ECL電路。其基本單元電路由提供“或”、“或非”邏輯功能的電流開關和完成電平位移與級聯的射極跟隨器兩部分組成(圖1)。輸入輸出的邏輯關係為

發射極耦合邏輯電路
時,電路具有整形性質,C1、C2兩點出現用電流電平或電壓電平辨別的四個狀態,因而又稱電流開關。它靠Ui對電流的引導完成電流開關作用。
發射極耦合邏輯電路為了保持電路的非飽和性質,ECL電路的邏輯幅度的典型值為0.8伏,高電平的典型值為-0.8伏。低電平的典型值為-1.6伏,定偏電晶體基極參考電平為-1.2伏。由於發射極耦合電阻Re的負反饋作用,電路工作時電流是在差分對中切變,不產生大的擾動。同時,由於射極跟隨器的隔離作用而能保證電路在較小的邏輯幅度下也能穩定可靠地工作。
ECL電路的特點是速度快。電路中,電晶體工作於非飽和區,Tb在共基極組態下工作。電路差動式結構的加速作用,使共發射極的輸入管實際工作在準共基極狀態下。小的邏輯幅度等條件保證了電路的高速度。電路的另一特點,是邏輯功能的靈活性。使用ECL電路的互補輸入輸出,同相集電極的“點與”,跟隨器輸出的“線或”,以及多層邏輯門的“串聯與”等,可以擴充電路的邏輯功能,節省電路功耗和元件數,為電路的邏輯設計和邏輯運用帶來靈活性和方便性。ECL 電路的缺點是電路功耗大、電平閾值電壓隨溫度而漂移等。
電流開關在60年代即已用於計算機,使計算機的性能大大提高。
參考書目
復旦大學微電子教研組編:《積體電路設計原理》,人民教育出版社,北京,1978。

