分子結構
甲基丙烯酸甲酯基本內容
甲基丙烯酸甲酯結構式中文名稱:甲基丙烯酸甲酯
中文同義詞:甲基丙烯酸甲酯;α-甲基丙烯酸甲酯;2-甲基-2-丙烯酸甲酯;異丁烯酸甲酯,甲基丙烯酸甲酯;甲基敗脂酸甲酯;甲基丙烯酸甲酯(MMA);有機玻璃單體;間丙烯酸甲酯
英文名稱:Methyl methacrylate
英文同義詞:2-METHYLACRYLIC ACID METHYL ESTER;METHYL METHACRYLATE;METHYL METHACRYLATE, MONOMER;METHACRYLIC ACID METHYL ESTER;METHYL A-METHYLACRYLATE;METHYL 2-METHYL-2-PROPENOATE;METHYL 2-METHYLPROPENOATE;monocite Methacrylate monomer
物化性質
| 蒸汽壓 (25.5℃) | 5.33kPa/25℃ |
| 閃點 | 10℃ (開杯) |
| 熔點 | -48℃ |
| 沸點 | 100-101℃ 24℃(4.3kPa) |
| 相對密度 | 0.9440(20/4℃) |
| 折射率 | 1.4142 |
| 爆炸極限 | 2.1%-12.5%體積 |
| CAS號 | 80-62-6 |
| 分子式 | C5H8O2 |
| 分子量 | 100.12 |
外觀與性狀:無色易揮發液體,並具有強辣味,易燃。溶解性: 溶於乙醇、乙醚、丙酮等多種有機溶劑,微溶於乙二醇和水
易燃,穩定性為穩定,在光、熱、電離輻射和催化劑存在下易聚合。
與空氣混合可爆,遇明火、高溫、氧化劑易燃; 燃燒產生刺激煙霧,與氧化劑、酸類發生化學反應,不宜久儲, 以防聚合反應。
交換工藝
精細化工產品的需求越來越大,因此,精細化工生產中所用的重要精細化工原料和中間體的需求越來越多,特別是甲基丙烯酸類酯的單體和中間體的需求更是供不應求。但是,此類產品主要靠進口,價格很高,國內產品難以滿足生產需求。為了改變這一狀況,國內許多企業、高校、研究機構等開始對此投入更多的研究。丙烯酸類酯的製備方法主要有:醇酸直接酯化法,醯氯酯化法,酯交換法等。對用酯交換法製備甲基丙烯酸類酯的研究較多,主要原因如下:首先,酯交換法可用低烷基酯製備高烷基酯,並且甲基丙烯酸甲酯的價格比甲基丙烯酸低得多。如用甲基丙烯酸甲酯分別與丁醇、2-乙基環己醇反應可以製備甲基丙烯酸丁酯和甲基丙烯酸-2-乙基環己酯。其次,酯交換法可以增加有用官能團的數量,如用甲基丙烯酸甲酯和二甲基氨基乙醇反應可以生成甲基丙烯酸二甲氨基乙酯。此分子中不但有被酯基活化的CC,還有1個叔胺基,此叔胺基可以與鹵代烷進行季銨化,生成各種季銨鹽產品。因此,用酯交換法製備精細化工產品在實際生產中套用越來越廣泛。
酯交換工藝的關鍵是催化劑的選擇,特別對原料和產品中都含有易聚合結構的(如雙鍵,三鍵等)進行酯交換時,催化劑的選擇更加重要。催化劑的選擇不但影響產品的收率,而且與反應時間和反應溫度也有很大的關係。傳統酯交換催化劑主要有酸、醇鈉等催化劑,如濃硫酸、甲苯磺酸、甲醇鈉等。這些催化劑的主要缺點是催化率低,用量大,反應後難以與產品分離,因此,開發新的催化劑變得更加重要。本文對近幾年文獻報導的許多效果較好的酯交換催化劑進行了綜述。
1、酯交換法製備的幾種重要甲基丙烯酸類酯
1、1.甲基丙烯酸二甲氨基乙酯(DMAEMA)
甲基丙烯酸-N,N-二甲基氨基乙酯是一種用途廣泛的多功能單體,它同時含有烯烴、胺、酯等化合物的特性。在一定條件下可以進行聚合、季銨化、水解等反應。它的最初製備方法是用甲基丙烯酸和二甲基乙醇胺直接酯化,但是由於反應物一個顯酸性,一個顯鹼性,因此用鹼性和酸性催化劑都不合適。後來逐步用甲基丙烯酸甲酯(MMA)和二甲基氨基乙醇(DMEA)進行酯交換法製備,反應方程式如圖1反應方程式.
這種用酯交換法製備甲基丙烯酸二甲氨基乙酯的方法日本研究的比較成熟。
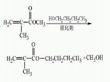
1、2.甲基丙烯酸丁酯(BMA)
甲基丙烯酸丁酯(BMA)是一種重要的有機化工中間體,主要套用於生產丙烯酸塗料、粘合劑等。丙烯酸塗料所用的BMA是高純度的,國內不能生產。BMA的製備方法主要有丙酮氯醇法,醇酸直接酯化法和酯交換法。對於生產丙烯酸塗料所用的BMA主要用酯交換法合成。反應方程式如如圖2反應方程式.
1、3.甲基丙烯酸-2-乙基己酯
甲基丙烯酸-2-乙基己酯也是一種重要的化工原料和中間體,廣泛套用於丙烯酸樹脂塗料、潤滑油添加劑、紡織助劑、塑膠改性劑、石油添加劑等,生產方法有直接酯化法和酯交換法。由於甲基丙烯酸價格比甲基丙烯酸甲酯高很多,用酯交換法是比較經濟的,反應方程式如如圖2反應方程式.
2酯交換法所用的催化劑
2、1.無機酸、有機酸或其酸式鹽
這類催化劑套用的比較早,屬於比較傳統的催化劑,無機酸主要以硫酸和鹽酸為主,磷酸也可以使用,但是反應速度明顯變慢。鹽酸則容易發生氯置換醇中的羥基而生成鹵烷。有機酸主要有甲磺酸、苯磺酸、對甲苯磺酸等。鹽類主要是硫酸鹽、硫酸氫鹽等。這類催化劑的優點就是價格比較便宜。但是缺點也很明顯:具有強腐蝕性,對設備、器材及操作條件要求比較苛刻。並且反應時間長、副反應多、三廢嚴重,易使產品的色澤變深。這類催化劑在酯交換法中將逐步被淘汰。
2、2.非酸性催化劑
這類催化劑是近些年發展的新方向。它的主要特點是沒有腐蝕作用,產品質量好,色澤淺,副反應少,反應條件比較緩和。它主要有以下幾類。
2、2.a.IA族元素及化合物
主要有鋰、氧化鋰、乙醯丙酮化鋰、甲醇鈉、乙醇鈉、氫氧化鉀、碳酸鉀、碳酸銫等均相催化劑。在這其中以甲醇鈉套用最廣泛。Alfney用甲醇鈉作催化劑,用酯交換法製備甲基丙烯酸二甲氨基乙酯,發現在48~50℃和0 4kPa下收集餾分,產率較高。Rohm&hass公司將DMEA和MMA以1∶(1 3~1 5)的比例混合,在80~95℃添加甲醇鈉,也得到較高產率。但是戎木通明等則認為使用醇鈉作催化劑時,反應物MMA和產物DMAEMA易二聚,因此,他們選用了K2CO3、Rb CO3、Cs2CO3作催化劑,發現以Cs2CO3的效果為最好。但由於價格偏高,從工業生產的角度出發,認為選用K2CO3為好。但這類催化劑的缺點是活性和選擇性比較低,並在反應過程中有相當量的醚生成。
2、2.b.IIA族元素及化合物
主要有鈣、氧化鈣、氫氧化鈣、碳酸鈣、氧化鎂、氫氧化鎂。朱明採用鹼土金屬Ca做催化劑製備甲基丙烯酸二甲基氨基乙酯,可使收率達95 4%,純度為99 5%。Tokuda等用氫氧化鈣做催化劑製備甲基丙烯酸丁酯,可得收率90 2%和純度99 8%的產品。該催化劑最大的優點就是與產物的分離較容易。
2、2.c.IIIA族元素及化合物
主要有鋁及其化合物,如鋁粉、氧化鋁、鋁酸鈉、含水的氧化鋁、氫氧化鈉的複合物和目前正在開發的烷氧基鋁類化合物。如王棟等用鋁粉作催化劑,甲基丙烯酸甲酯和二甲氨基乙醇進行酯交換製備甲基丙烯酸二甲基氨基乙酯,結果表明,效果較好。
2、2.d.IVA族元素化合物
主要是錫類化合物,目前錫類化合物作為酯交換的催化劑使用最為廣泛,文獻報導較多,其中包括有機錫類和無機錫類。無機錫類包括氧化錫、氧化亞錫、氯化亞錫等,採用比較少。有機錫類有:二丁基氧化錫、二月桂酸二丁基錫,二氯二丁基錫、三丁基乙酸錫、三丁基氯化錫和三甲基氯化錫等。其中二丁基氧化錫具有用量少、催化效率高、反應時間短的優點。但催化劑在反應結束後較難完全分離除去,從而易導致反應產物色澤變深,因此,對於那些對催化劑殘留量要求較高的場合不能使用。Tsucha,Nagano、Nagafuchi等分別用二丁基氧化錫作催化劑製備甲基丙烯酸二甲氨基乙酯,收率都比較高。但是有機錫類催化劑價格昂貴,要想在工業上有實際套用價值,必須解決催化劑的重複回用問題。
2、2.e.IVB族元素化合物
這類化合物雖然作為較早期傳統的酯交換催化劑的替代品出現,缺點主要是殘留在粗產品中的催化劑難以消除,並且殘餘在產品中的催化劑會發生氧化反應而使產品變色。所以,這類催化劑的回收利用難度較大。但是它們具有較高的催化活性,因此對它的使用研究還是比較熱門。套用較多的有二氧化鈦、鈦酸四甲酯、鈦酸四丁酯、鈦酸異丁酯、鈦酸四異丙酯、氧化鋯、鋯酸四甲酯。Sonobe等用甲基丙烯酸甲酯和丁醇在鋯酸四甲酯催化下,製備甲基丙烯酸丁酯,得到99 9%純度的產品。Korshunov用鈦酸異丙酯或鈦酸異丁酯作催化劑製備甲基丙烯酸二甲氨基乙酯,得到的產物很純,並且分離起來也相對容易。Tokuda等用鈦酸四丁酯作催化劑製備甲基丙烯酸丁酯,得到收率為97 4%的產品。
3、結語
綜上所述,用酯交換法製備甲基丙烯酸類酯所用催化劑的研究中,選擇催化活性和選擇性較高、與產品易分離、價格低的催化劑是的研究重點。就目前來看,有機錫類、鈦酸化合物與鹼金屬的烷氧基化合物是比較理想的酯交換法用催化劑,只要解決了回收重利用問題,在今後的工業生產中將會得到廣泛的套用。
製備方法
圖2反應方程式1.丙酮氰醇路線丙酮氰醇與硫酸反應生成甲基丙烯醯胺硫酸鹽,經水解後再與甲醇酯化得甲基丙烯酸甲酯粗製品,然後經鹽析、粗餾、精餾得成品。通常丙酮氰醇由氰化鈉製得原料消耗定額:甲酮氰醇1100kg/t、硫酸2100kg/t、甲醇490kg/t。
2.異丁烯路線異丁烯在鉬催化劑存在下用空氣兩段氧化。異丁烯先氧化成甲基丙烯醛,再進一步氧化成甲基丙烯酸。甲基丙烯酸與甲醇酯化得甲基丙烯酸甲酯。開發出一步氧化法工藝。異丁烯以N2O4為氧化劑,K2CO3或MnO2為催化劑,直接氧化生成甲基丙烯酸。然後再用甲醇酯化。
3.丙烯路線丙烯、一氧化碳與甲醇進行羰化反應生成2-甲氧基異丁酸甲酯,然後通過水解反應分解成甲基丙烯酸甲酯和甲醇。
4.異丁醛一步氧化法以雜多酸及其鹽類為催化劑,由異丁醛一步氧化生成甲基丙烯酸,甲基丙烯酸再與甲醇酯化成甲基丙烯酸甲酯。
使用注意事項
圖3反應方程式S24:避免皮膚接觸。(Avoid contact with skin.)
S37:戴適當手套。(Wear suitable gloves.)
S46If:若不慎吞食,立即求醫並出示其容器或標籤。(swallowed, seek medical advice immediately and show this container or label. )
S45:若發生事故或感不適,立即就醫(可能的話,出示其標籤)。In case of accident or if you feel unwell, seek medical advice immediately (show the label whenever possible.)
S36/37:穿戴適當的防護服和手套。(Wear suitable protective clothing and gloves.)
S16:遠離火源。(Keep away from sources of ignition.)
S7:保持容器密封。(Keep container tightly closed.)
R11:高度易燃。(Highly flammable.)
R37/38:刺激呼吸系統和皮膚。(Irritating to respiratory system and skin.)
R43:與皮膚接觸可能致敏。(May cause sensitization by skin contact.)
R39:有極嚴重的不可逆後果的危險品。(Danger of very serious irreversible effects.)
R23/24/25:吸入、皮膚接觸及吞食有毒。(Toxic by inhalation, in contact with skin and if swallowed.)
皮膚接觸:脫去污染的衣著,用肥皂水和清水徹底沖洗皮膚。
眼睛接觸:提起眼瞼,用流動清水或生理鹽水沖洗。就醫。
吸入:速脫離現場至空氣新鮮處。保持呼吸道通暢。如呼吸困難,給輸氧。如呼吸停止,立即進行人工呼吸。就醫。
食入:飲足量溫水,催吐。就醫。
危險特性:易燃,其蒸氣與空氣可形成爆炸性混合物,遇明火、高熱能引起燃燒爆炸。在受熱、光和紫外線的作用下易發生聚合,粘度逐漸增加,嚴重時整個容器的單體可全部發生不規則爆發性聚合。其蒸氣比空氣重,能在較低處擴散到相當遠的地方,遇火源會著火回燃。
有害燃燒產物:一氧化碳、二氧化碳。
滅火方法:消防人員必須穿全身防火防毒服,在上風向滅火。遇大火,消防人員須在有防護掩蔽處操作。滅火劑:抗溶性泡沫、二氧化碳、乾粉、砂土。用水滅火無效,但可用水保持火場中容器冷卻。
應急處理:迅速撤離泄漏污染區人員至安全區,並進行隔離,嚴格限制出入。切斷火源。建議應急處理人員戴自給正壓式呼吸器,穿防靜電工作服。儘可能切斷泄漏源。防止流入下水道、排洪溝等限制性空間。小量泄漏:用砂土、蛭石或其它惰性材料吸收。或用不燃性分散劑製成的乳液刷洗,洗液稀釋後放入廢水系統。大量泄漏:構築圍堤或挖坑收容。用泡沫復蓋,降低蒸氣災害。噴霧狀水或泡沫冷卻和稀釋蒸汽、保護現場人員。用防爆泵轉移至槽車或專用收集器內,回收或運至廢物處理場所處置。
TLVTN:ACGIH 100ppm,410mg/m3
TLVWN:未制定標準
監測方法:氣相色譜法
工程控制:生產過程密閉,加強通風。
呼吸系統防護:可能接觸其蒸氣時,應該佩戴自吸過濾式防毒面具(半面罩)。
眼睛防護:戴化學安全防護眼鏡。
身體防護:穿防靜電工作服。
手防護:戴橡膠耐油手套。
其他防護:工作現場嚴禁吸菸。工作完畢,淋浴更衣。注意個人清潔衛生。
其它有害作用:該物質對環境可能有危害,應對徑流水給予特別注意。
廢棄處置方法:處置前應參閱國家和地方有關法規。建議用焚燒法處置。
操作注意事項:密閉操作,加強通風。操作人員必須經過專門培訓,嚴格遵守操作規程。建議操作人員佩戴自吸過濾式防毒面具(半面罩),戴化學安全防護眼鏡,穿防靜電工作服,戴橡膠耐油手套。遠離火種、熱源,工作場所嚴禁吸菸。使用防爆型的通風系統和設備。防止蒸氣泄漏到工作場所空氣中。避免與氧化劑、酸類、鹼類、鹵素接觸。搬運時要輕裝輕卸,防止包裝及容器損壞。配備相應品種和數量的消防器材及泄漏應急處理設備。倒空的容器可能殘留有害物。
儲存注意事項:通常商品加有阻聚劑。儲存於陰涼、通風的庫房。遠離火種、熱源。避光保存。庫溫不宜超過30℃。包裝要求密封,不可與空氣接觸。應與氧化劑、酸類、鹼類、鹵素等分開存放,切忌混儲。不宜大量儲存或久存。採用防爆型照明、通風設施。禁止使用易產生火花的機械設備和工具。儲區應備有泄漏應急處理設備和合適的收容材料。
運輸注意事項:運輸時運輸車輛應配備相應品種和數量的消防器材及泄漏應急處理設備。夏季最好早晚運輸。運輸時所用的槽(罐)車應有接地鏈,槽內可設孔隔板以減少震蕩產生靜電。嚴禁與氧化劑、酸類、鹼類、鹵素、食用化學品等混裝混運。運輸途中應防曝曬、雨淋,防高溫。中途停留時應遠離火種、熱源、高溫區。裝運該物品的車輛排氣管必須配備阻火裝置,禁止使用易產生火花的機械設備和工具裝卸。公路運輸時要按規定路線行駛,勿在居民區和人口稠密區停留。鐵路運輸時要禁止溜放。嚴禁用木船、水泥船散裝運輸。
法規信息
化學危險物品安全管理條例 (1987年2月17日國務院發布),化學危險物品安全管理條例實施細則 (化勞發 677號),工作場所安全使用化學品規定 (勞部發423號)等法規,針對化學危險品的安全使用、生產、儲存、運輸、裝卸等方面均作了相應規定;常用危險化學品的分類及標誌 (GB 13690-92)將該物質劃為第3.2 類中閃點易燃液體;車間空氣中甲基丙烯酸甲酯衛生標準(GB 168776-88),規定了車間空氣中該物質的最高容許濃度及檢測方法。
安全信息
| 符號: [2] | GHS02, GHS06, GHS08 |
| 信號詞: | Danger |
| 危險聲明: | H225,H301,H311,H331,H370 |
| 警示性聲明: | P210,P260,P280,P301+P310,P311 |
| 危害碼: | F,Xi |
| 風險聲明: | R11;R43;R37/38 |
| 安全聲明: | S24;S37;S46 |
| UN代碼: | 1247 |
| WGK德國: | 1 |
| 閃點: | 8℃ |
風險術語
R11:Highly flammable. 高度易燃。
R37/38:Irritating to respiratory system and skin. 刺激呼吸系統和皮膚。
R43:May cause sensitization by skin contact. 與皮膚接觸可能致敏。
安全術語
S24:Avoid contact with skin. 避免皮膚接觸。
S37:Wear suitable gloves. 戴適當手套。
S46:If swallowed, seek medical advice immediately and show this container or label.若不慎吞食,立即求醫並出示其容器或標籤。
系統編號
CAS號:80-62-6
MDL號:MFCD00008587
EINECS號:201-297-1
RTECS號:OZ5075000
BRN號:605459
PubChem號:24883162
毒理學數據
1.急性毒性
LD50:7872mg/kg(大鼠經口);
LC50:78000mg/m3(大鼠吸入,4h)
2.刺激性 暫無資料
3.亞急性與慢性毒性 狗吸入11700ppm,每天1.5h,共8天,可引起動物死亡,屍檢可見肝、腎脂肪變性。
4.致突變性 細胞遺傳學分析:小鼠淋巴細胞2202mg/L。
5.致畸性 大鼠孕後6~15d吸入最低中毒劑量(TCLo)109g/m3(17min),致肌肉骨骼系統發育畸形。
6.其他 大鼠吸入最低中毒濃度(TCLo):109g/kg(孕6~15d用藥),致胚胎毒性,對肌肉骨骼系統有影響。
分子結構數據
1、摩爾折射率:26.55
2、摩爾體積(m3/mol):109.4
3、等張比容(90.2K):240.9
4、表面張力(dyne/cm):23.5
5、極化率(10-24cm3):10.52
計算化學數據
1、疏水參數計算參考值(XlogP):1.4
2、氫鍵供體數量:0
3、氫鍵受體數量:2
4、可鏇轉化學鍵數量:2
5、互變異構體數量:無
6、拓撲分子極性表面積(TPSA):26.3
7、重原子數量:7
8、表面電荷:0
9、複雜度:94.3
10、同位素原子數量:0
11、確定原子立構中心數量:0
12、不確定原子立構中心數量:0
13、確定化學鍵立構中心數量:0
14、不確定化學鍵立構中心數量:0
15、共價鍵單元數量:1
生態學數據
1.生態毒性 TLm:499~159mg/L(24~96h)(黑頭呆魚);368~232mg/L(24~96h)(藍鰓太陽魚);423~277mg/L(24~96h)(金魚)
2.生物降解性 MITI-I測試,初始濃度100ppm,污泥濃度30ppm,2周后降解94%。
3.非生物降解性 空氣中,當羥基自由基濃度為5.00×105個/cm3時,降解半衰期為7.4h(理論)。
當pH值為7,8,9,11時,水解半衰期分別為4a,140d,14d,3.4h(理論)
性質與穩定性
1.易揮發,易燃,與空氣形成爆炸性混合物,溶於乙醇、乙醚、丙酮等多種有機溶劑,微溶於乙二醇和水。受光、熱和催化作用易聚合,也可與其他單體共聚,由於存在雙鍵和羧酸基團,還易進行加成、鹵化、親核取代核酯交換反應。易聚合。通常加入10-5氫醌單甲醚作阻聚劑。
2.本品毒性較小。大鼠經口LD50為9400mg/kg。吸入致死濃度Lc5015.33g/m3,作業最高容許濃度為410mg/m3。但其嗅閾為130~250mg/m3,當其濃度尚未達產生毒性之前,其強烈臭味已使人難忍。人體皮膚接觸甲基丙烯酸甲酯,只有極少數人會出現紅疹。
3.由於生產甲基丙烯酸甲酯的原料氰化鈉和中間體氰化氫劇毒,生產裝置必須嚴格保證設備密閉,並保持良好通風,操作人員應有嚴格的防護措施,配備必要的防護裝具。發現中毒現象應立即移至空氣新鮮處及時搶救。
4.穩定性 穩定
5.禁配物氧化劑、酸類、鹼類、還原劑、過氧化物、胺類、鹵素
6.避免接觸的條件受熱、光照、紫外線、接觸空氣
7.聚合危害 聚合

