成份
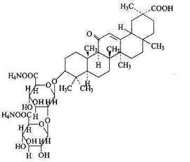
甘草酸二銨腸溶膠囊本品主要成份為甘草酸二銨。化學名稱:20β-羧基-11-氧代正齊墩果烷-12-烯-3β基-2-O-β-D-葡萄吡喃糖苷醛酸基-α-D-葡萄吡喃糖苷醛酸二銨鹽。
化學結構式:
輔料主要為卵磷脂、澱粉。
分子式:CHNO
分子量:857.01
性狀
本品為腸溶硬膠囊劑,內容物為淡黃色粉末或顆粒。
適應症
本品適用於伴有谷丙氨基轉移酶升高的急、慢性肝炎的治療。
用法用量
口服,一次150mg(一次3粒),一日3次。
不良反應
主要有納差、噁心、嘔吐、腹脹,以及皮膚瘙癢、蕁麻疹、口乾和浮腫,心腦血管系統有頭痛、頭暈、胸悶、心悸及血壓升高,以上症狀一般較輕,不必停藥。
禁忌
對甘草酸二銨過敏者禁用;對卵磷脂過敏者禁用;嚴重低鉀血症、高鈉血症、高血壓、心衰、腎衰竭患者禁用。
注意事項
治療過程中應定期測血壓和血清鉀、鈉濃度,如出現高血壓、血鈉瀦留、低鉀血症等情況應停藥或適當減量。
兒童用藥
新生兒、嬰幼兒的用藥劑量和不良反應尚未確定,暫不用。
老年用藥
未進行該項實驗且無可靠參考文獻。
藥物過量
未進行該項實驗且無可靠參考文獻。
藥理毒理
本品是中藥甘草有效成份的第三代提取物及卵磷脂的混合物,具有較強的抗炎、保護肝細胞膜及改善肝功能的作用。該藥在化學結構上與醛固酮的類固醇環相似,可阻礙可的松與醛固酮的滅活,從而發揮類固醇樣作用,但無皮質激素的不良反應。
藥代動力學
本品口服後從腸道吸收,其生物利用度不受腸道食物的影響,本品具有腸肝循環,其體內過程複雜,給藥後8~12小時血藥濃度達峰值。該藥及其代謝產物與蛋白結合力強,且其結合率受血漿蛋白的濃度影響,故血藥濃度變化與腸肝循環和蛋白結合有密切關係。約70%通過膽汁從糞便中排除,20%從呼吸道以二氧化碳形式排出,尿中原形排出約為2%。
包裝
鋁塑包裝。12粒/板,2板/盒。
執行標準
國家食品藥品監督管理局標準。WS1(X-012)-2009Z。

