簡介
環形振盪器是一種採用奇數個非門組成的環形電路。電路的輸出是振蕩產生兩個電平。
偶數個反向器無法形成環形振盪器。這是由於輸出的情況和輸入相同。
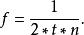
環形振盪器如果用t代表單個反向器的延遲時間,n代表反向器的個數。環形振動器的頻率可以寫成
定義
以三個非門為例,即非門A輸出端連線到非門B輸入端,非門B輸出端連線到非門C輸入端,非門C輸出端到連線非門A輸入端,在其中任何一個連線的位置都可以引出輸出信號。
原理
以三個非門為例,假定某一時刻T0,非門A輸入端變為高電平,則非門A輸出端(非門B輸入端)在非門延遲時間ΔT後(T=T0 +ΔT)變為低電平,T=T0+2ΔT後非門B輸出端(非門C輸入端)變為高電平,T=T0+3ΔT後非門C輸出端(即非門A輸入端)由高電平變為低電平,此時非門A輸入端電平與T0時正好相反……依次類推,6ΔT後非門A輸入端又變回高電平完成一個周期的振盪,如此往復。
基本特性
振盪周期 = 單個非門延遲時間×非門數×2
變化
還可以在其中一個節點(兩個非門之間)加上阻容或感容延遲網路來改變振盪周期,總的振盪周期就是上面式子的周期加上延遲網路的延遲時間。
套用
這種振盪器的特點是線路簡單,起振容易,如果不加延遲網路則不需要阻容元件,便於集成化,缺點是沒有延遲網路頻率不便於靈活選擇,要實現低頻振盪需要很多的非門因而不易實現,另外由於門電路延遲時間有一定誤差,製作時頻率不太準確。如果加上阻容網路,則與同樣需要阻容元件的對稱多諧振盪器或非對稱多諧振盪器相比,所需晶片面積和成本不占優勢。
主要套用於積體電路內部集成的要求不高的高頻振盪,以及普通數字電路中的簡易振盪器。

