簡介
如果軸上某一物點F,和它共軛的像點位於軸上無限遠,則F稱為物方焦點。
通過F垂直於光軸的平面稱為物方焦平面,它和無限遠的垂直於光軸的像平面共軛。
物方焦點共軸理想光學系統的基點——主平面和焦點
近軸光學基本公式的缺點:物面位置改變時,需重新計算,若要求知道整個空間的物像對應關係,勢必要計算許多不同的物平面。
已知兩對共軛面的位置和放大率,或者一對共軛面的位置和放大率,以及軸上的兩對共軛點的位置,則其任意物點的像點就可以根據這些已知的共軛面和共軛點來求得。
光學系統的成像性質可用這些基面和基點求得,最常用的是一對共軛面和軸上的兩對共軛點。
主平面
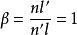
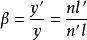
放大率β=1的一對共軛面叫做主平面。
物方焦點
物方焦點
物方焦點不同位置的共軛面對應著不同的放大率。放大率β=1的一對共軛面稱為主平面。
物平面稱為物方主平面,像平面稱為像方主平面。兩主平面和光軸的交點分別稱為物方主點和像方主點,用H、 H’表示, H和H’顯然也是一對共軛點。
主平面性質:
任意一條入射光線與物方主平面的交點高度和出射光線與像方主平面的交點高度相同。
像方焦點和像方焦平面性質
當軸上物點位於無限遠時,它的像點位於F’處。F’稱為像方焦點。
通過像方焦點垂直於光軸的平面稱作像方焦平面。
物方焦點
物方焦點像方焦平面和垂直於光軸的無限遠的物平面共軛。
像方焦點和像方焦平面性質:
1、平行於光軸入射的任意一條光線,其共軛光線一定通過F'點;
物方焦點2、和光軸成一定夾角的光線通過光學系統後,必交於像方焦平面上同一點。
物方焦點物方焦點和物方焦平面性質
1、過物方焦點入射的光線,通過光學系統後平行於光軸出射;
2、由物方焦平面上軸外任意一點下發出的所有光線,通過光學系統以後,對應一束和光軸成一定夾角的平行光線。
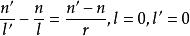
物方焦點主平面和焦點之間的距離稱為焦距。
由像方主點H’到像方焦點F’的距離稱為像方焦距,用f ’表示。
由物方主點H到物方焦點F的距離稱為物方焦距,用f表示。
f、 f'的符號規則:
f'—以H'為起點,計算到F',由左向右為正;
f —以H為起點,計算到F,由左向右為正。
一對主平面,加上無限遠軸上物點和像方焦點F‘,以及物方焦點F和無限遠軸上像點這兩對共軛點,就是最常用的共軸系統的基點。根據它們能找出物空間任意物點的像。
因此,如果已知一個共軸系統的一對主平面和兩個焦點位置,它的成像性質就完全確定。所以,可用一對主平面和兩個焦點位置來代表一個光學系統:
物方焦點單個折射球面的主平面和焦點
球面的主點位置
主平面是垂軸放大率β=1的一對共軛面。
物方焦點
物方焦點或者。
同時,由於它是一對共軛面,主點位置應滿足:
物方焦點球面的兩個主點與球面頂點重合。其物方主平面和像方主平面即為過球面頂點的切平面。
球面焦距公式
物方焦點
物方焦點令,套用公式
物方焦點同樣物方焦點為:
物方焦點
物方焦點球面反射的情形反射看作是的折射,。
物方焦點結論:反射球面的焦點位於球心和頂點的中點。
共軸球面系統的主平面和焦點
焦點位置
平行於光軸入射的光線,通過光學系統後,與光軸的交點就是像方焦點F’。
物方焦點焦點位置計算
物方焦點利用近軸光路計算公式,計算
物方焦點
物方焦點
物方焦點把平行於光軸入射的近軸光線逐面計算,最後求得出射光線的坐標,從而找出像方焦點F’,像方焦點F’離開最後一面頂點的距離稱為像方頂焦距。
像方主平面位置
入射光線高度h,出射光線延長線與像方主平面的交點高度也等於h,延長入射光線和出射光線,其交點必定位在像方主平面上。
物方焦點焦距公式:
物方焦點和物方主平面位置計算
將光學系統翻轉,按計算像方焦點和像方主平面同樣的方法,計算出的結果就是物方焦點和物方主平面的結果。
物方焦點
物方焦點第一面頂點到物方焦點F的距離稱為物方頂焦距。
