描述
熱成風為鉛直方向上兩個等壓面上地轉風的矢量差。現實大氣為斜壓大氣,即密度的空間分布同時依賴於氣壓和溫度,等壓面、等溫面和等密度面互相交割。在斜壓大氣中,等壓面上溫度分布不均勻會導致等壓面的坡度隨高度發生改變。若如圖1所示,等壓面坡度隨高度增大,則地轉風的風速也隨高度增大。此時,地轉風隨高度的變數,即為熱成風,用數學表達式表示,即可得熱成風方程。
熱成風方程圖1 等壓面坡度隨高度增大
熱成風方程,用於計算地轉風的鉛直變數與等壓面上水平溫度之間的關係。通過熱成風關係,可得靜力平衡的大尺度運動中風場、氣壓場、溫度場之間的關係。當將地轉風和熱成風取近似值時,可用來校對實際觀測的風場、氣壓場和溫度場的分析是否協調一致。此外,還可通過熱成風來分析各高度層的冷、暖平流,在理論研究和實際天氣分析中都有廣泛的套用。
方程
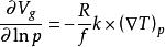
熱成風方程可通過 p坐標系中的地轉風方程推導而來 ,表達式為
熱成風方程式中, V為地轉風矢量; p為氣壓; R為乾空氣比氣體常數; f為地轉參數; k為方向矢量; T為溫度,表示等壓面上的溫度梯度。若,表示等壓面與等溫面重合,即地轉風不隨高度變化,則此時熱成風為0。
用 V表示熱成風矢量,用 V表示兩等壓面之間的平均溫度,將熱成風方程對氣壓 p積分,可得
熱成風方程由上式可知:熱成風方向和等平均溫度線平行,北半球暖區在右、冷區在左;熱成風的大小與平均溫度梯度成正比。
套用
熱成風可用於判斷某高度層的溫度平流。根據背熱成風而立(北半球),暖區在右,冷區在左的原則,熱成風的形成存在圖2中的兩種形式,其中 V為低層地轉風, V為高層地轉風。圖2a中,地轉風從冷區吹往暖區,為冷平流;圖2b中,地轉風從暖區吹往冷區,為暖平流。還可看出,圖2a中隨高度增加地轉風逆時針轉動,圖2b中隨高度增加地轉風順時針轉動。因此可知,地轉風隨高度逆時針旋轉為冷平流,順時針旋轉為暖平流。
熱成風方程圖2 地轉風隨高度的變化與溫度平流的關係
