定義
連結圓錐曲線(包括橢圓,雙曲線,拋物線)上一點與對應焦點的線段的長度,叫做圓錐曲線焦半徑。
圓錐曲線上一點到焦點的距離,不是定值。
公式
橢圓
焦半徑
焦半徑
焦半徑
焦半徑
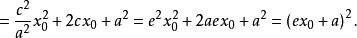
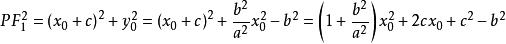
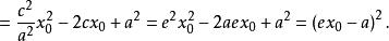
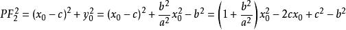
焦半徑設M(m ,n)是橢圓上的一點,r₁和r₂分別是點M與點F₁(-c,0),F₂(c,0)的距離,那么左焦半徑r₁=a+em,右焦半徑r₂=a-em,其中e是離心率。推導:,可得:。所以:。
雙曲線
雙曲線的 焦半徑及其套用:
1:定義:雙曲線上任意一點P與雙曲線焦點的連線段,叫做雙曲線的 焦半徑。
焦半徑
焦半徑2.已知雙曲線標準方程,且F₁為左焦點,F₂為右焦點,e為雙曲線的離心率,則(對任意x而言)。
焦半徑當點P(x,y)在右支上時:。
焦半徑當點P(x,y)在左支上時:。
推導
焦半徑
焦半徑
焦半徑
焦半徑
焦半徑當點P在左支上時,。
焦半徑當點P在右支上時,。
拋物線
拋物線y²=2px (p>0),C(x₀,y₀)為拋物線上的一點,焦半徑|CF|=x₀+p/2。

