化合物簡介
基本信息
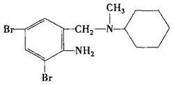
中文名稱:溴己新
中文別名:2-氨基-3,5-二溴-N-環己基-N-甲基苄胺;N-甲基-N-環己基-2-氨基-3,5-二溴苯甲胺;必嗽平;溴己胺;必消痰;溴苄環已銨;鹽酸溴環已銨;溴苄環已胺;溴環己銨
英文名稱:bromhexine
英文別名:2-amino-3,5-dibromo-N-cyclohexyl-N-methylbenzenemethanamine; Bromhexinum [INN-Latin];Bromhexina [INN-Spanish];Benzenemethanamine,2-amino-3,5-dibromo-N-cyclohexyl-N-methyl;N-(2-amino-3,5-dibromo-benzyl)-N-methyl-cyclohexylamine;Bisolvon
CAS號:3572-43-8
分子式:CHBrN
溴己新結構式:
分子量:376.13000
精確質量:373.99900
PSA:29.26000
LogP:5.13950
物化性質
密度:1.57 g/cm
沸點:413.8ºC at 760 mmHg
閃點:204.1ºC
折射率:1.626
熔點239~243℃
本品為鴨嘴花鹼(vasicine)經結構改造得到的半合成品,常用其鹽酸鹽。系白色或類白色結晶性粉末;無臭,無味。在乙醇或三氯甲烷中微溶,在水中極微溶解。
安全信息
海關編碼:2921590090
藥典標準
【鑑別】(1)在含量測定項下記錄的色譜圖中,供試品溶液主峰的保留時間應與對照品溶液主峰的保留時間一致。(2) 本品的紅外光吸收圖譜應與對照的圖譜(光譜集402圖)一致。(3) 取本品約10mg,加乙醇lml,微熱溶解後,溶液顯芳香第一胺類的鑑別反應(附錄Ⅲ)。(4) 取本品10mg,加乙醇2ml,微熱溶解後,溶液顯氯化物的鑑別反應(附錄Ⅲ)。
【檢查】 有關物質 取本品,精密稱定,加甲醇溶解並稀釋製成每lml中約含2.5mg的溶液,作為供試品溶液;精密量取適量,用甲醇稀釋製成每lml中含5μg的溶液,作為對照溶液。照含量測定項下的色譜條件,取對照溶液10μg,注入液相色譜儀,調節檢測靈敏度,使主成分色譜峰的峰高約為滿量程的20%;再精密量取供試品溶液與對照溶液各10μl,分別注入液相色譜儀,記錄色譜圖至主成分峰保留時間的3倍。供試品溶液色譜圖中如有雜質峰,單個雜質峰面積不得大於對照溶液的主峰面積(0.2%),各雜質峰面積的和不得大於對照溶液主峰面積的1.5 倍(0.3%)。乾燥失重 取本品,在105℃乾燥至恆重,減失重量不得過0.5%(附錄Ⅷ L)。熾灼殘渣 取本品l.Og,依法檢査(附錄Ⅷ N ),遺留殘渣不得過0.1%。重金屬 取熾灼殘渣項下遺留的殘渣,依法檢査(附錄Ⅷ H第二法),含重金屬不得過百萬分之二十。
【含量測定】照高效液相色譜法(附錄V D )測定。色譜條件與系統適用性試驗 用十八烷基矽垸鍵合矽膠為填充劑;以磷酸二氫鉀緩衝液(取磷酸二氫鉀1.0g,加900ml水使溶解,用0.5 mol/L氫氧化鈉溶液調節pH值至7.0,用水稀釋至1000ml)-乙腈(20:80)為流動相;柱溫為40℃;檢測波長為245nm。鹽酸溴己新峰與相鄰雜質峰的分離度應符合要求。測定法 取本品適量,精密稱定,加甲醇溶解並定量稀釋製成每lml中約含0.5mg的溶液,作為供試品溶液,精密量取10μl,注入液相色譜儀,記錄色譜圖;另取鹽酸溴己新對照品,同法測定。按外標法以峰面積計箅,即得。
【類別】祛痰藥。
【貯藏】密封保存。
藥物說明
分類
呼吸系統藥物>祛痰藥物> 降低痰液吸附力的藥物
劑型
1.片劑:8mg;
2.注射劑:4mg(2ml)。
藥理作用
本品具有較強的黏痰溶解作用。主要作用於氣管、支氣管黏膜的黏液產生細胞,抑制痰液中酸性黏多糖蛋白的合成,並可使痰中的黏蛋白纖維斷裂,因此使氣管、支氣管分泌的流變學特徵恢復正常,黏痰減少,痰液稀釋易於咳出。本品的祛痰作用尚與其促進呼吸道黏膜的纖毛運動及具有噁心性祛痰作用有關。服藥後約1小時起效,4~5小時作用達高峰,療效維持6~8小時。
藥代動力學
溴己新口服後1h見效,3~5h作用最強,可維持6~8h。絕大部分降解轉化成代謝物隨尿排出,僅極少數由糞便排出。
適應症
用於慢性支氣管炎、哮喘、支氣管擴張、矽肺等有白色黏痰又不易咳出的患者。膿性痰患者需加用抗生素控制感染。
用法用量
1.每天2~3次,每次8~16mg。
2.皮下、肌注、靜注或靜脈滴註:每天1~2次,每次4~8mg。靜注用25%葡萄糖注射劑20~40ml稀釋後緩慢注射。靜脈滴注用5%葡萄糖鹽水或林格液250~500ml稀釋後緩慢滴注。
3.霧化吸入:0.2%,每天1~3次,每次2ml。
不良反應
偶有噁心、胃部不適,減量或停藥後可消失。嚴重的不良反應為皮疹、遺尿。
禁忌症
對本藥過敏者禁用。
注意事項
1.胃潰瘍患者慎用。
2.孕婦及哺乳期婦女慎用。
3.膿性痰患者需加用抗生素控制感染。
4.溴己新宜在飯後服用。
藥物相互作用
本品能增加阿莫西林、四環素類抗生素在肺內或支氣管的分布濃度,合用時能增強抗菌療效。
中毒
溴己新(溴己銨、必嗽平)有較強的溶解痰液的作用,使痰液稀化,易於排出;尚可促進呼吸道黏膜的纖毛運動,並有噁心性祛痰作用。口服吸收完全,用於痰液黏稠不易咳出者。對胃腸黏膜可有刺激作用,激活潰
製劑
片劑:8mg
專家點評
在臨床套用中,溴己新對慢性支氣管炎、肺氣腫、支氣管擴張等慢性阻塞性肺疾病,有黏痰不易咳出者較適用。尤其當黏痰阻塞小支氣管而引起氣急、氣喘者,可用溴己新口服,霧化吸入或氣管內滴入 。
鹽酸溴己新片
功能主治:本品主要用於慢性支氣管炎、哮喘等引起的粘痰不易咯出的患者。
用法用量:口服。成人,一次1~2片,一日3次。
劑型:片劑
不良反應:偶有噁心、胃部不適。可能使血清轉氨酶暫時升高。
禁忌:尚不明確。
注意事項:1、本品對胃腸道黏膜有刺激性,胃炎或胃潰瘍患者慎用。
2、肝功能不全患者應在醫師指導下使用。
3、對本品過敏者禁用,過敏體質者慎用。
4、本品性狀發生改變時禁止使用。
5、請將本品放在兒童不能接觸的地方。
6、兒童必須在成人監護下使用。
7、如正在使用其他藥品,使用本品前請諮詢醫師或藥師。
成份:本品每片含鹽酸溴己新8毫克。輔料為澱粉、糊精、硬脂酸鎂。
性狀:本品為白色片。
作用類別:本品為祛痰藥類非處方藥藥品。
藥物相互作用:1、本品可增加四環素與阿莫西林的療效。
2、如與其他藥物同時使用可能會發生藥物相互作用,詳情請諮詢醫師或藥師。
藥理作用:本品直接作用於支氣管腺體,能使粘液分泌細胞的溶酶體釋出,從而使粘液中的粘多糖解聚,降低粘液的粘稠度;還能引起呼吸道分泌粘性低的小分子粘蛋白,使痰液變稀,易於咳出 。
貯藏:密封保存。
藥品有效期:36個月
執行標準:《中國藥典》2010年版二部。

