概述
藍屏無紙記錄儀是針對各種工業現場的實際需求設計生產的,集顯示、處理、記錄、積算、報警和配電等多種功能於一身的新型記錄儀。
藍屏無紙記錄儀採用高亮度、寬視角的5.6英寸TFT液晶顯示屏,顯示清晰明了;採用超大容量的NAND FLASH作為歷史數據的存儲介質,真正實現無紙記錄儀強大的記錄功能;按鍵和旋鈕聯用使操作更靈活簡便,真正符合了工業人員的操作習慣。同時採用CF卡作為外部存儲介質,可將需要保存的數據通過CF卡轉存至計算機或其它設備中永久保存或列印。
藍屏溫壓補償記錄儀藍屏無紙記錄儀廣泛地適用於各類工業現場,主要套用在冶金、石油、化工、建材、造紙、食品、製藥、熱處理和水處理等各種工業現場,是替代傳統記錄儀的新一代無紙記錄儀。
主要特點
畫面信息豐富,可同時顯示數據、曲線、棒圖等;
最多12路萬能輸入,可接收熱電偶、熱電阻、電流和電壓等多種輸入信號;
最多4路模擬量變送輸出通道,有(0~10)mA、(4~20)mA和(0~20)mA等3種輸出信號供選擇;
最多12路報警輸出,常閉常開觸點可選;
最多3路24V配電輸出;
大容量FLASH歷史數據存儲;
支持RS-232或隔離的RS-485兩種通訊;
可根據需要選擇中/英文操作界面;
CF卡轉存歷史數據和報表;
剪貼簿的拷貝和貼上功能方便用戶的參數設定;
直觀的上位機管理系統實現真正的遠程監控;
允許手動關屏,4階亮度調節。
舉例說明
例如:有一熱電廠用差壓變送器測量過熱蒸汽流量,設計工藝條件如下:
設計工況溫度:250℃
設計工況壓力:1.2MPa(表壓)
設計差壓量程:(0~30)kPa
設計流量量程:(0~40)t/h
儀表組態方法如下:
第1通道組態畫面內:“類型”組態為溫度信號類型,如熱電阻,“量程”組態為合適的值,“單位”組態為“℃”,“累積”組態為“否”,“開方”組態為“不開方”,“補償”組態為“不補償”;
第2通道組態畫面內:“類型”組態為壓力變送器輸出信號類型,如標準信號“4~20mA”,“量程”組態為合適的值,“單位”組態為“MPa”,“累積”組態為“否”,“開方”組態為“不開方”,“補償”組態為“不補償”;
第3通道組態畫面內,“類型”組態為差壓變送器輸出信號類型,如“4~20mA”,“量程”組態為“0~40”,“單位”組態為“t/h”,“開方”組態為“差壓未開方”,“累積”組態為“是”,“累積係數”組態為“1.0”,“補償類型”組態為“過熱蒸汽”,“溫度通道”和“壓力通道”組態為對應的輸入通道號“01”和“02”,“設計溫度”值組態為“250”,“設計壓力”值組態為“1.2”,“溫度給定值”、“壓力給定值”、“A”和“B”組態為任意值,“熱流量累積”組態為“否”。
退出組態畫面,返回到實時顯示畫面。
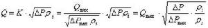
現假設實際工況溫度為200℃,實際工況壓力為0.5MPa,實際差壓為6.84kPa,變送器對差壓信號未開方。儀表內部自動按下述公式進行計算:
根據設計工況條件自動查過熱蒸汽密度表,可得氣體的設計工況密度ρs=5.6559kg/m3;同時根據實際工作條件查過熱蒸汽密度表可得實際工作密度ρi=2.8406kg/m3。
由公式:


其中:
Qmax: 表示最大設計流量,單位為t/h;
ρs: 表示設計工作密度,單位為kg/m3;
ρi: 表示實際工作密度,單位為kg/m3;
K: 表示流量係數;
ΔP: 表示實際差壓,單位為kPa;
ΔPmax: 表示最大設計差壓,單位為kPa;
Q: 表示實際流量,單位為t/h。
把數據代入上述公式可得:


