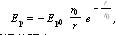
湯川勢Yukawa potential湯川勢描述兩個核子之間的核力,可用下述理論公式表示:
湯川勢其中Ep0 和r0分別為勢阱的深度和寬度; 是一變數,表示核子間的距離。

湯川勢在20世紀30年代前。在日本物理學家湯川秀樹的介子理論中提出,又稱Yukawa勢。
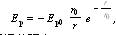
湯川勢Yukawa potential湯川勢描述兩個核子之間的核力,可用下述理論公式表示:
湯川勢《遇見王瀝川》改編自施定柔的小說《瀝川往事》,由上海拓樂影視文化傳媒有限公司承制出品,周恬製作,陳銘章執導,施定柔編劇,高以翔、焦俊艷、連凱、鄭希怡、林...
劇情簡介 分集劇情 演職員表 角色介紹 音樂原聲湯川秀樹(1907~1981),日本物理學家,畢業於京都大學和大阪大學,歷任京都帝國大學、東京帝國大學教授。1948年赴美國任哥倫比亞大學教授,1949...
人物履歷 人物生平 介子假設 科學成就 榮譽湯川耦合(英文:Yukawa's interaction),在粒子物理學中用來描述標量場與狄拉克場之間相互作用的量。
簡介 湯川秀樹 參見伊勢國(いせ):屬東海道,又稱勢州。石高約57萬石(慶長時)。伊勢國的領域大約為現在三重縣的中央大部份,即扣除東部的志摩半島、西部的上野盆地及南部的熊野...
概述 地理 歷史 歷任伊勢守護 歷任伊勢守所謂“九勢”,就是關於筆勢的九種方法、法則。只要學書者掌握了正確的方法,又能勤學苦練,即使沒有名師的指導,也是可以達到書法的“妙境”的。
蔡邕簡介 書法九勢原文 書法九勢注釋 書法九勢今析漫川關鎮古稱豐陽關、豐陽川,又稱蠻子國。漫川關水旱碼頭通往各地,商務繁榮,人口稠密,"水碼頭百艇聯檣,旱碼頭千蹄接踵","北通秦晉,南聯吳楚","朝秦暮...
漫川關古鎮簡介 漫川關戰火連綿 漫川旅遊景點 漫川特色飲食文化 漫川關古鎮食用農特產川中島合戰是日本戰國時代甲斐國大名武田信玄與越後國大名上杉謙信之間,在北信濃川中島地區進行五次大小戰役的總稱,或者專指發生於1561年(永祿4年)九月(...
背景 經過 戰爭總結 相關爭議 後世紀念霹靂湯主要由川附(炮去皮臍)5兩,桂心(去皮盡)2兩,當歸2兩,甘草1兩等成分配製而成。處方來源於《扁鵲心書·神方》。方劑主治脾胃虛弱,因傷生冷成泄瀉,...
治中風 健脾胃 處方來源加味遺糧湯藥方主要由仙遺糧(白者佳,紅者傷人,俗名冷飯糰,《本草》名萆薢)濕者2兩,乾者1兩5錢,防風5分,木瓜5分,木通5分,薏苡仁5分,白鮮皮5分,...
藥方種類 通利血脈 止痛 藥方來源 相關詞條