隨機誤差的測量處理
圖1隨機誤差的處理測量中的隨機誤差是互相獨立的許多微小誤差的總和,是多種因素造成的。根據中心極限定理,隨機誤差總和的分布規律就可認為是常態分配,這時隨機誤差及測量數據分布的機率密度分別如圖1。
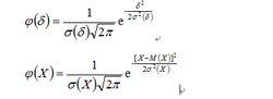
式中δ為隨機誤差,X為測量值,σ(δ)及σ(X)為隨機誤差及測量值分布的標準偏差,M(X)為測量值的數學期望,即被測量的真值(當不存在系統誤差時)。由於隨機誤差,使測量值偏離被測量的數學期望,偏離或分散的程度可用標準偏差σ(δ)來表示。
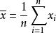
測量誤差處理實際的測量只能進行有限次,所以,隨機誤差的處理,就是用有限次測量值來估計測量值的數學期望和標準偏差。可以證明,用n次測量值的算術平均值作為M(X)的估計值是合適的,因為這種估計符合一致性及無偏性原則,即 。
圖2
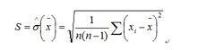
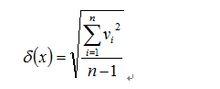
測量誤差處理可利用貝塞爾公式來估計有限次測量值的標準偏差如圖2 。式中 ,為第i次測量值與平均值之差,稱為殘差。
有限次測量值的算術平均值的分布會相對集中,因為在進行平均的過程中,隨機誤差在很大程度上會互相抵消,可以證明圖3 。
n次測量值的平均值的標準偏差比σ(x)小倍,所以,多次測量後取平均值是減小隨機誤差對測量結果影響的重要途徑。
圖3系統誤差的測量處理
測量誤差處理系統誤差的處理比隨機誤差處理困難,沒有通用的處理方法。要求精心設計測量系統和選擇測量儀器,分析可能產生系統誤差的原因,採取一定的技術措施,力爭在測量之前消除或減弱系統誤差的影響。系統誤差處理的主要工作是:設法估計出殘存的系統誤差的數值或範圍。對於掌握了方向和大小的系統誤差可用修正值(包括修正公式和修正曲線)進行修正,對不能確切掌握方向和數值的系統誤差要估計出大體範圍,以便掌握它對測量結果的影響。系統誤差處理涉及對系統誤差的判別。能夠掌握大小與方向的系統誤差稱恆值系統誤差,其判別較簡單。考慮到隨機誤差的抵償性,系統誤差ε等於多次測量值的平均值與真值之差,所以,只要有辦法找到被測量的真值或其近似值,即可判別是否存在恆值系差。對變值系差,即隨著測量條件變化,其誤差的大小與方向隨之而變,要利用觀察和分析測量數據的方法來進行。一般,可改變某一測量條件(例如,電源電壓),記錄測量值x,求出各次測量的殘差 ,觀察殘差的變化規律,就可了解系統誤差隨測量條件的變化。對變值系差,通常要估計其界限e,e稱為系統誤差限或系統不確定度。
粗大誤差的測量處理
測量誤差處理
測量誤差處理
測量誤差處理
測量誤差處理
測量誤差處理根據隨機誤差的常態分配特性,在無系統誤差的情況下,測量值分布在真值附近,通常測量值遠離真值的情況是很少的,可以計算,誤差絕對值超過3σ(x)的機率僅占0.27%。所以,一般可根據 來判別,即絕對誤差大於3σ(x)的測量數據視為異常數據,應剔除。上列判別條件中,用 代替真值,用 代替σ(x),以便計算。以3作為判別異常數據的界限,稱為萊特準則,這一準則適用於測量數據服從常態分配,且測量次數較大的情況。在測量數據分布不能確定,對測量次數沒有太大要求的情況下,通常取2更有適用性。
測量不確定度
《測量誤差及數據處理技術規範》(國家標準)規定,對測量結果誤差的評定,用不確定度。
圖4
測量誤差處理
測量誤差處理①A類不確定度S。這是不確定度的統計處理方法。對被測量作n次等精度獨立測量,利用貝塞爾公式估計A類不確定度,即用估計標準偏差來表征,在評定測量結果,用來表征,於是如圖4。
估計A類不確定度S,還可採用其他方法,如最大殘差法、極差法、最大誤差法等,可參閱有關文獻。
測量誤差處理②B類不確定度u。B類不確定度不能用統計方法計算,需用其他方法算得,估計法是常用的一種方法。對不確定度u的估計,可以通過以前類似測量的記錄,所用儀器的檢定數據,測量中所用器材和裝置的一般特性和特徵的知識等,都可形成一個信息集合,以提供評定一個不確定度的有意義的測度。若能估計誤差限±a及其分布,則B類不確定度的表征值為。
測量誤差處理
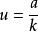
測量誤差處理a與u的比值k與誤差的分布形狀有關,是該項誤差相應分布曲線的置信係數。以常態分配為例,根據不同的置信機率,k通常取2~3,若k=3,表示估計值可使99.7%的誤差落入±a內。若僅能估計誤差限±a,但不能確切掌握分布規律,則可通過對分布的經驗假設,通常在常見的幾種分布中去選擇,例如,常態分配、均勻分布、反正弦分布和三角分布等,相應的k分別為3、, 和2.4等。分布的假設應以經驗資料為依據。
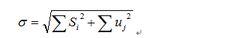
圖5③合成不確定度。將A和B兩類不確定度按均方根法合成,若各分量彼此獨立,則合成不確定度為如圖5。
測量誤差處理④總不確定度。總不確定度可以極限誤差表示
式中C為置信因子。總不確定度是以置信機率P不小於0.96時給出的測量誤差置信範圍。在一般情況下,取C=2,有時也可取2.5或3,C也可由t分布計算。總不確定度只是在特殊用途時給出,例如開具檢定證書。
