定義
由不同物質混合形成混合物的過程,特別是形成液體混合物的過程,通常會引起體積效應和熱效應。例如,甲醇和水混合時體積會縮小,濃硫酸和水混合時會有強烈的放熱,這些現象是伴隨著混合過程發生的。為了表達這種關係,定義熱力學函式混合過程性質變化,簡稱混合性質。
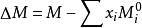
混合性質的變化量
符號表示
混合性質的變化量用符號△M表示。
定義式
混合性質變化量的定義式為:
混合性質
混合性質其中,是混合前純組元i的標準態時的摩爾性質。
常用性質
自由焓G
對於自由焓,混合的性質其該變數用△G表示,有:
混合性質其中:
混合性質(1)為溶液中組分i的標準自由焓;
(2)G為溶液的摩爾自由焓;
混合性質(3)為組分i在溶液中的摩爾分數。
混合性質因為,故有:
混合性質即有:
混合性質又因為:
混合性質故有:
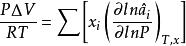
混合性質體積V
與自由焓的推導過程類似,可得:
混合性質
混合性質可化簡為與有關的函式:
混合性質對於理想溶液
混合性質對於理想溶液,因為,因此上述性質可化簡為:
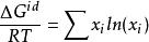
自由焓G
對於理想溶液,其自由焓改變數的表達式為:
混合性質體積V
對於理想溶液,其體積改變數的表達式為:
混合性質
