液體接界電勢
正文
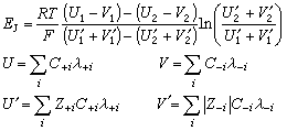
兩種不同的電解液相接觸時在界面兩側產生的電勢差。在液體接界區域,離子會向濃度較低的對面一側擴散。溶液中各種正負離子的擴散係數不同,擴散速率也不同,使界面兩側產生電勢差(電位降)。例如,兩種不同濃度的鹽酸相接觸,濃溶液內的H+和Cl-會自發地向稀溶液擴散。由於H+的擴散速率較大,使界面稀溶液一側積聚過量的H+,帶正電荷;在濃溶液一側則相應地Cl-過量,帶負電荷,從而建立界面電勢差。該電勢差又抑制H+的擴散,加速Cl-的擴散。最終使兩者速率相等,達到電勢和濃差的相對穩定擴散狀態。這種電勢差稱為液體接界電勢或簡稱液接電勢。若兩側溶劑相同,也可稱為擴散電勢。液體接界電勢值取決於界面兩側電解液中正、負離子的性質和濃度,並與溫度有關。在稀溶液的情況下,液接電勢EJ(伏特)可按亨德森公式近似地計算:

表內列出某些液接電勢值。由於K+和Cl-的擴散係數相接近,由兩種濃度氯化鉀溶液、或由飽和氯化鉀溶液為一方所產生的液接電勢均比較小。液體接界電勢的存在影響了電極電勢的正確測量。採用鹽橋乃是減小液接電勢的有效方法。鹽橋是充滿電解液的管子,由它連通測量系統中的兩種不同的電解液。鹽橋中的溶液必須是正、負離子擴散係數相近的濃溶液。最常用的是飽和氯化鉀溶液。有時還利用瓊脂使鹽橋溶液成凍膠狀以防止對流。鹽橋兩端的液接電勢都很小,從而減少了液接電勢對測量電極電勢的影響。使用鹽橋後電勢測量的精度約為±(1~2)毫伏,故精確電動勢測量應採用無液體接界的電池。
液體接界電勢