定義
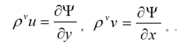
流函式是流體力學中同連續性方程相聯繫的一個標量函式,它在流體平面運動和軸對稱運動中有重要套用。不可壓縮流體和定常可壓縮流體的連續性方程可寫成(1)式 。式中 v 為速度矢量;ρ為流體密度;ν=0和ν=1分別對應於不可壓縮流體和定常可壓縮流體情形。由方程(1)容易看到存在著矢勢B,使(2)成立:
流函式式中B稱為廣義流函式。在平面運動和軸對稱運動這兩種特殊情形下,B只有一個非零分量,如果引進流函式將來以一個函式代替兩個速度分量函式的好處。在平面運動情形下連續性方程在直角坐標系中可以寫成如下的形式:
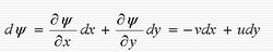
流函式式中u、v為速度矢量在x、y軸方向上的分量。由此推出存在流函式Ψ,使得:
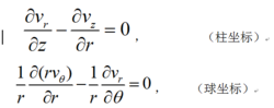
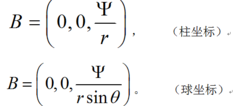
流函式顯然,此時有B=(0,0,Ψ),Ψ稱為平面運動的流函式。在軸對稱運動中,取柱坐標系(r,φ,z)和球坐標系(r,φ,θ),連續性方程可分別寫為:
流函式
流函式式中v、v和v、v分別為速度矢量在柱坐標r、z軸上和球坐標系r、θ軸上的分量。由式(3)推出存在著流函式Ψ,使得:
容易驗證,此時矢勢具有下列形式:
流函式性質
Ψ稱為軸對稱運動的流函式,也稱為斯托克斯流函式。對於不可壓縮流體,流函式具有下列四個性質:
①Ψ可加上任一常數而不影響對流體的運動的描述。
②Ψ為常數的曲面是流面。
③在Oxy平面上或θ=π/2的平面上取一曲線弧AB,則通過以AB為底、高為單位的曲面(平面情形)或通過以AB為母線的鏇轉曲面(軸對稱情形)的流量Q與流函式在A、B兩點上的值Ψ和Ψ之間存在如下關係:
Q=(2π)(Ψ-Ψ),
式中v=0和v=1分別對應於平面和軸對稱情形。
④在單聯通區域內若不存在源、匯(見源流、匯流),則流函式Ψ是單值函式。若單聯通區域內有源,匯或在多聯通區域內,則Ψ一般是多值函式。
流函式如果不可壓縮流體的運動是無鏇的,則▽×v=0。在直角坐標系中無鏇條件給出
,由此推出,流函式Ψ滿足拉普拉斯方程△Ψ=0,因而是調和函式。在柱坐標系和球坐標系中,無鏇條件要求:
流函式於是Ψ滿足下列方程:DΨ=0,式中D為廣義斯托克斯算符,它在柱坐標系和球坐標系中的表達式分別為:
流函式總結
1、對於不可壓縮流的二維流動,無論是有鏇流動還是無鏇流動,流體有粘性還是沒有粘性,一定存在流函式。在三維流動中一般不存在流函式(軸對稱流動除外)。
流函式
流函式2、對於不可壓縮流體的平面流動,流函式永遠滿足連續性方程。
3 流函式都有各自的常數值,流函式的等值線就是流線。
4、對於不可壓縮流體的平面勢流,流函式滿足拉普拉斯方程,流函式也是調和函式。
5、平面流動中,通過兩條流線間任意一曲線(單位厚度)的體積流量等於兩條流線的流函式之差,與流線形狀無關。
