方程解釋
y 是掠食者(如狼)的數量; x 是獵物(如兔子)的數量; dy/dt 與 dx/dt 表示上述兩族群相互對抗的時間之變化; t 表示時間; α, β, γ 與 δ 表示與兩物種互動有關的係數,皆為正實數。
生物學的意義
以下將式子乘開,如此可以較容易地解釋方程式的實際意義。
獵物族群的增值速度
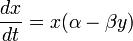
第一式所表達的是獵物族群的增值速度:
洛特卡-沃爾泰拉方程此模型假設獵物所接受的食物供給已經達到最極限,且除非遭遇掠食者的捕食,否則繁殖數量的增加以指數方式成長,其指數成長的情形,則以上述方程式中的 αx 表現。此外並假設獵物遭遇捕食的比例,和獵物遭遇掠食者的機會成常數比,以上述方程式中的 βxy 表現。如果 x 或 y 其中一個為零,則皆有可能是沒有捕食行為出現。
由上述的方程式可知:獵物族群規模的改變,源於本身受到捕食而產生的成長衰減。
掠食者族群的增值速度
第二式所表達的是掠食者族群的增值速度:
洛特卡-沃爾泰拉方程此方程式中的 δxy 表示掠食者族群的成長(可能會與掠食者與獵物的數量比例相似,但是掠食者與獵物的數量比例是以不同的常數表示,且不一定與族群的成長相等。) γy 表示掠食者的自然死亡,為指數衰減。
由上述的方程式可知:掠食者族群規模的改變,是獵食者族群的成長,減去其自然死亡的部分。
方程式的解
洛特卡-沃爾泰拉方程此方程式擁有周期性的解,且無法簡單地以常用的三角函式表達。不過經過線性近似的過程之後,掠食者與獵物的族群大小變化可以表達成兩個簡諧運動的圖形,差距為90度。生態上的實際大致依照此簡單模式,不過詳細狀況會有所出入。在此模式系統中,當獵物數量充足的時候,掠食者的族群也會興旺起來。不過掠食者的族群最後仍然會因為超過獵物所能供給的數量而開始衰減。當掠食者的族群族群縮減,則獵物族群將會再次增大。兩者的族群大小便以周期性的成長與衰減進行循環。
族群規模的平衡
族群的平衡會發生在族群大小不再變化的時候。例如:兩條微分方程皆等於零的時候。
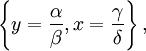
x(α − β y) = 0 − y(γ − δ x) = 0 求解上述方程式的 x 與 y 可得:
洛特卡-沃爾泰拉方程
洛特卡-沃爾泰拉方程由此可知有兩組解。
第一組解實際上是表示兩個物種的滅絕,若是兩個族群皆為零,則此狀況將永久持續下去。第二組解表示一個不動點,意思是兩個族群能夠維持一個不為零的數量,並且在簡單的模型中能夠永久持續。係數 α, β, γ, 與 δ ,能夠決定族群規模將在哪種情況下達成平衡狀態。
不動點的穩定性
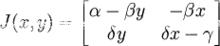
不動點的穩定性可以利用偏導數,將其以線性化方式呈現。
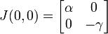
產生的掠食者獵物模型之雅可比矩陣如下:
洛特卡-沃爾泰拉方程第一不動點當數值為(0,0)穩定狀態,則雅可比矩陣變成:
洛特卡-沃爾泰拉方程此矩陣的特徵值為:
洛特卡-沃爾泰拉方程模型中的 α 與 γ 永遠比零大,且每一的特徵值的符號永遠不一樣。由此可知位在原點的不動點是一個鞍點(saddle point)。
此不動點的穩定性相當重要,當處於穩定態的時候,非零的族群會趨向它。一些初始的族群可能會走向滅絕。然而當不動點位於原點時,也是一個鞍點,因此並不穩定。所以在此模型中,兩個物種皆難以滅絕。除非以人為方式將獵物完全消滅,並使掠食者因饑荒而死亡。而若是將掠食者完全消滅,則獵物的族群增長情形,將會脫離此簡單模型。
著名例子
加拿大的山貓(Lynx)與雪兔(Snowshoe Hare)數量消長情形。

